Nota:
El acceso a esta página requiere autorización. Puede intentar iniciar sesión o cambiar directorios.
El acceso a esta página requiere autorización. Puede intentar cambiar los directorios.
Identificadores de las propiedades del efecto de transformación 3D.
Syntax
typedef enum D2D1_3DTRANSFORM_PROP {
D2D1_3DTRANSFORM_PROP_INTERPOLATION_MODE = 0,
D2D1_3DTRANSFORM_PROP_BORDER_MODE = 1,
D2D1_3DTRANSFORM_PROP_TRANSFORM_MATRIX = 2,
D2D1_3DTRANSFORM_PROP_FORCE_DWORD = 0xffffffff
} ;
Constantes
D2D1_3DTRANSFORM_PROP_INTERPOLATION_MODEValor: 0 Modo de interpolación que usa el efecto en la imagen. Hay 5 modos de escala que oscilan en calidad y velocidad. El tipo es D2D1_3DTRANSFORM_INTERPOLATION_MODE. El valor predeterminado es D2D1_3DTRANSFORM_INTERPOLATION_MODE_LINEAR. |
D2D1_3DTRANSFORM_PROP_BORDER_MODEValor: 1 Modo utilizado para calcular el borde de la imagen, suave o duro. Consulta Modos de borde para obtener más información. El tipo es D2D1_BORDER_MODE. El valor predeterminado es D2D1_BORDER_MODE_SOFT. |
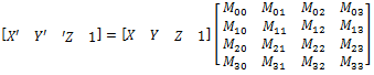
D2D1_3DTRANSFORM_PROP_TRANSFORM_MATRIXValor: 2 Matriz de transformación 4x4 aplicada al plano de proyección. El siguiente cálculo de matriz se usa para asignar puntos de un sistema de coordenadas 3D. al sistema de coordenadas 2D transformado.
Donde:
Los elementos de matriz individuales no están limitados y no tienen unidad. El tipo es D2D1_MATRIX_4X4_F. El valor predeterminado es Matrix4x4F(1, 0, 0, 0, 0, 1, 0, 0, 0, 0, 1, 0, 0, 0, 0, 1). |
D2D1_3DTRANSFORM_PROP_FORCE_DWORDValor: 0xffffffff |
Requisitos
| Requisito | Valor |
|---|---|
| Header | d2d1effects.h |