Nota:
El acceso a esta página requiere autorización. Puede intentar iniciar sesión o cambiar directorios.
El acceso a esta página requiere autorización. Puede intentar cambiar los directorios.
Representa una transformación 2D que afecta a la escala de un objeto visual a lo largo del eje X y del eje Y. El sistema de coordenadas se escala desde el punto central especificado.
Herencia
La interfaz IDCompositionScaleTransform hereda de IDCompositionTransform. IDCompositionScaleTransform también tiene estos tipos de miembros:
Métodos
La interfaz IDCompositionScaleTransform tiene estos métodos.
|
IDCompositionScaleTransform::SetCenterX Cambia el valor de la propiedad CenterX de una transformación de escala 2D. |
|
IDCompositionScaleTransform::SetCenterX Anima el valor de la propiedad CenterX de una transformación de escala 2D. |
|
IDCompositionScaleTransform::SetCenterY Cambia el valor de la propiedad CenterY de una transformación de escala 2D. |
|
IDCompositionScaleTransform::SetCenterY Anima el valor de la propiedad CenterY de una transformación de escala 2D. |
|
IDCompositionScaleTransform::SetScaleX Cambia el valor de la propiedad ScaleX de una transformación de escala 2D. |
|
IDCompositionScaleTransform::SetScaleX Anima el valor de la propiedad ScaleX de una transformación de escala 2D. |
|
IDCompositionScaleTransform::SetScaleY Cambia el valor de la propiedad ScaleY de una transformación de escala 2D. |
|
IDCompositionScaleTransform::SetScaleY Anima el valor de la propiedad ScaleY de una transformación de escala 2D. |
Comentarios
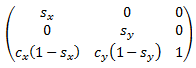
Una transformación de escala representa la siguiente matriz de 3 a 3:
El efecto es escalar o reducir verticalmente el sistema de coordenadas y aplicar la traducción correspondiente de modo que el punto central no se mueva.
Requisitos
| Cliente mínimo compatible | Windows 8 [solo aplicaciones de escritorio] |
| Servidor mínimo compatible | Windows Server 2012 [solo aplicaciones de escritorio] |
| Plataforma de destino | Windows |
| Encabezado | dcomp.h |