Partager via


Algorithme d’arbres de décision Microsoft

L’algorithme Microsoft Decision Trees est un algorithme de classification et de régression fourni par Microsoft SQL Server Analysis Services pour une utilisation dans la modélisation prédictive des attributs discrets et continus.

Pour les attributs discrets, l’algorithme effectue des prédictions en fonction des relations entre les colonnes d’entrée dans un jeu de données. Elle utilise les valeurs, appelées états, de ces colonnes pour prédire les états d’une colonne que vous désignez comme prévisible. Plus précisément, l’algorithme identifie les colonnes d’entrée corrélées à la colonne prévisible. Par exemple, dans un scénario pour prédire quels clients sont susceptibles d’acheter un vélo, si neuf sur dix jeunes clients achètent un vélo, mais seulement deux sur dix clients plus âgés le font, l’algorithme déduit que l’âge est un bon prédicteur de l’achat de vélos. L’arbre de décision fait des prédictions basées sur cette tendance à un résultat particulier.

Pour les attributs continus, l’algorithme utilise la régression linéaire pour déterminer où un arbre de décision fractionne.

Si plusieurs colonnes sont définies sur prédictibles ou si les données d’entrée contiennent une table imbriquée définie sur prévisible, l’algorithme génère un arbre de décision distinct pour chaque colonne prédictible

Exemple :

Le service marketing de la société Adventure Works Cycles souhaite identifier les caractéristiques des clients précédents qui peuvent indiquer si ces clients sont susceptibles d’acheter un produit à l’avenir. La base de données AdventureWorks2012 stocke les informations démographiques qui décrivent les clients précédents. En utilisant l’algorithme Microsoft Decision Trees pour analyser ces informations, le service marketing peut créer un modèle qui prédit si un client particulier achète des produits, en fonction des états des colonnes connues sur ce client, telles que les données démographiques ou les modèles d’achat passés.

Fonctionnement de l’algorithme

L’algorithme Microsoft Decision Trees génère un modèle d’exploration de données en créant une série de fractionnements dans l’arborescence. Ces fractionnements sont représentés en tant que nœuds. L’algorithme ajoute un nœud au modèle chaque fois qu’une colonne d’entrée est trouvée comme étant considérablement corrélée à la colonne prévisible. La façon dont l’algorithme détermine un fractionnement est différent selon qu’il prédit une colonne continue ou une colonne discrète.

L’algorithme Microsoft Decision Trees utilise la sélection de fonctionnalités pour guider la sélection des attributs les plus utiles. La sélection des fonctionnalités est utilisée par tous les algorithmes d’exploration de données Analysis Services pour améliorer les performances et la qualité de l’analyse. La sélection des fonctionnalités est importante pour empêcher les attributs non importants d’utiliser le temps processeur. Si vous utilisez trop d’attributs d’entrée ou prédictibles lorsque vous concevez un modèle d’exploration de données, le modèle peut prendre beaucoup de temps pour traiter, voire manquer de mémoire. Les méthodes utilisées pour déterminer s’il faut fractionner l’arborescence incluent des métriques standard pour les réseaux entropie et Bayésien*.* Pour plus d’informations sur les méthodes utilisées pour sélectionner des attributs significatifs, puis noter et classer les attributs, consultez Sélection des fonctionnalités (exploration de données).

Un problème courant dans les modèles d’exploration de données est que le modèle devient trop sensible aux petites différences dans les données d’apprentissage, auquel cas il a dit être sur-ajusté ou surentraîné. Un modèle surajusté ne peut pas être généralisé à d’autres jeux de données. Pour éviter toute surajustement sur un ensemble particulier de données, l’algorithme Microsoft Decision Trees utilise des techniques pour contrôler la croissance de l’arbre. Pour obtenir une explication plus approfondie du fonctionnement de l’algorithme Microsoft Decision Trees, consultez la référence technique de l’algorithme d’arbres de décision Microsoft.

Prédiction de colonnes discrètes

La façon dont l’algorithme Microsoft Decision Trees crée une arborescence pour une colonne prédictible discrète peut être illustrée à l’aide d’un histogramme. Le diagramme suivant montre un histogramme représentant une colonne attendue, Bike Buyers, par rapport à une colonne d'entrée, Age. L’histogramme montre que l’âge d’une personne permet de distinguer si cette personne achètera un vélo.

Histogramme de l'algorithme Microsoft Decision Trees

La corrélation affichée dans le diagramme entraîne la création d’un nœud dans le modèle par l’algorithme Microsoft Decision Trees.

Nœud de l'arbre de décision

À mesure que l’algorithme ajoute de nouveaux nœuds à un modèle, une structure d’arborescence est formée. Le nœud supérieur de l’arborescence décrit la répartition de la colonne prévisible pour la population globale des clients. À mesure que le modèle continue de croître, l’algorithme considère toutes les colonnes.

Prédiction de colonnes continues

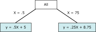
Lorsque l’algorithme Microsoft Decision Trees génère une arborescence basée sur une colonne prévisible continue, chaque nœud contient une formule de régression. Un fractionnement se produit à un point de non-linéarité dans la formule de régression. Par exemple, considérez le diagramme suivant.

Lignes de régression multiples montrant une non-linéarité

Le diagramme contient des données qui peuvent être modélisées à l’aide d’une seule ligne ou à l’aide de deux lignes connectées. Toutefois, une seule ligne ferait un mauvais travail de représentation des données. Si vous utilisez deux lignes de tendance, le modèle effectuera un meilleur travail pour approximer les données. Le point où les deux lignes se rassemblent est le point de non-linéarité, et est le point où un nœud dans un modèle d’arbre de décision fractionnerait. Par exemple, le nœud qui correspond au point de non-linéarité dans le graphique précédent peut être représenté par le diagramme suivant. Les deux équations représentent les équations de régression pour les deux lignes.

Équation qui représente un point de non-linéarité

Données requises pour les modèles d’arbre de décision

Lorsque vous préparez des données à utiliser dans un modèle d’arbre de décision, vous devez comprendre les exigences de l’algorithme particulier, y compris la quantité de données nécessaires et la façon dont les données sont utilisées.

Les exigences d’un modèle d’arbre de décision sont les suivantes :

  • Une seule colonne clé Chaque modèle doit contenir une colonne numérique ou texte qui identifie de manière unique chaque enregistrement. Les clés composées ne sont pas autorisées.

  • Une colonne prédictible Nécessite au moins une colonne prévisible. Vous pouvez inclure plusieurs attributs prédictibles dans un modèle, et les attributs prédictibles peuvent être de différents types, numériques ou discrets. Toutefois, l’augmentation du nombre d’attributs prévisibles peut augmenter le temps de traitement.

  • Colonnes d’entrée Nécessite des colonnes d’entrée, qui peuvent être discrètes ou continues. L’augmentation du nombre d’attributs d’entrée affecte le temps de traitement.

Pour plus d’informations sur les types de contenu et les types de données pris en charge pour les modèles d’arbre de décision, consultez la section Exigences de microsoft Decision Trees Algorithm Technical Reference.

Affichage d’un modèle d’arbre de décision

Pour explorer le modèle, vous pouvez utiliser microsoft Tree Viewer. Si votre modèle génère plusieurs arborescences, vous pouvez sélectionner une arborescence et la visionneuse vous montre comment les cas sont classés pour chaque attribut prédictible. Vous pouvez également afficher l’interaction des arborescences à l’aide de la visionneuse du réseau de dépendances. Pour plus d’informations, consultez Parcourir un modèle à l’aide du Microsoft Tree Viewer.

Si vous souhaitez en savoir plus sur n’importe quelle branche ou nœud de l’arborescence, vous pouvez également parcourir le modèle à l’aide de la visionneuse de l’arborescence de contenu générique Microsoft. Le contenu stocké pour le modèle inclut la distribution de toutes les valeurs de chaque nœud, les probabilités à chaque niveau de l’arborescence et les formules de régression pour les attributs continus. Pour plus d’informations, consultez Contenu du modèle d’exploration de données pour les modèles d’arbre de décision (Analysis Services - Exploration de données).

Création de prédictions

Une fois le modèle traité, les résultats sont stockés sous la forme d’un ensemble de modèles et de statistiques, que vous pouvez utiliser pour explorer les relations ou effectuer des prédictions.

Pour obtenir des exemples de requêtes à utiliser avec un modèle d’arbre de décision, consultez Exemples de requêtes de modèle d’arbre de décision.

Pour obtenir des informations générales sur la création de requêtes sur des modèles d’exploration de données, consultez Requêtes d’exploration de données.

Remarques

  • Prend en charge l’utilisation du langage de balisage de modèle prédictif (PMML) pour créer des modèles d’exploration de données.

  • Prend en charge l’exploration détaillée.

  • Prend en charge l’utilisation de modèles d’exploration de données OLAP et la création de dimensions d’exploration de données.

Voir aussi

Algorithmes d’exploration de données (Analysis Services - Exploration de données)Référence technique de l'algorithme des arbres de décision MicrosoftExemples de requêtes de modèles d'arbre de décisionContenu du modèle d'exploration de données pour les modèles d'arbre de décision (Analysis Services - Exploration de données)