Remarque
L’accès à cette page nécessite une autorisation. Vous pouvez essayer de vous connecter ou de modifier des répertoires.
L’accès à cette page nécessite une autorisation. Vous pouvez essayer de modifier des répertoires.
S’applique à : SQL Server 2016 (13.x) et versions ultérieures
Il s’agit du tutoriel 6 de la série de tutoriels RevoScaleR qui traite de l’utilisation des fonctions RevoScaleR avec SQL Server.
Dans ce tutoriel, vous allez utiliser les fonctions de R pour afficher la distribution des valeurs dans la colonne creditLine par sexe.
- Créer des variables min-max pour les entrées d’histogramme
- Représenter des données dans un histogramme à l’aide de rxHistogram à partir de RevoScaleR
- Créer une visualisation avec des nuages de points à l’aide de la fonction levelplot de lattice inclus dans la distribution R de base
Comme ce tutoriel le montre, vous pouvez associer des fonctions Microsoft et open source dans le même script.
Ajouter des valeurs maximales et minimales
D’après les statistiques de synthèse calculées dans le tutoriel précédent, vous avez trouvé des informations utiles sur les données que vous pouvez placer dans la source de données pour effectuer d’autres calculs. Par exemple, les valeurs minimales et maximales peuvent être utilisées pour créer des histogrammes. Dans cet exercice, ajoutez les valeurs haute et basse de la source de données RxSqlServerData.
Commencez par configurer des variables temporaires.
sumDF <- sumOut$sDataFrame var <- sumDF$NameUtilisez la variable ccColInfo créée dans le tutoriel précédent pour définir les colonnes de la source de données.
Ajoutez de nouvelles colonnes calculées (numTrans, numIntlTranset creditLine) à la collection de colonnes qui remplacent la définition d’origine. Le script ci-dessous ajoute des facteurs basés sur les valeurs minimales et maximales, obtenus à partir de sumOut, qui stocke la sortie en mémoire de rxSummary.
ccColInfo <- list( gender = list(type = "factor", levels = c("1", "2"), newLevels = c("Male", "Female")), cardholder = list(type = "factor", levels = c("1", "2"), newLevels = c("Principal", "Secondary")), state = list(type = "factor", levels = as.character(1:51), newLevels = stateAbb), balance = list(type = "numeric"), numTrans = list(type = "factor", levels = as.character(sumDF[var == "numTrans", "Min"]:sumDF[var == "numTrans", "Max"])), numIntlTrans = list(type = "factor", levels = as.character(sumDF[var == "numIntlTrans", "Min"]:sumDF[var =="numIntlTrans", "Max"])), creditLine = list(type = "numeric") )Après avoir mis à jour la collection de colonnes, appliquez l’instruction suivante pour créer une version mise à jour de la source de données SQL Server déjà définie.
sqlFraudDS <- RxSqlServerData( connectionString = sqlConnString, table = sqlFraudTable, colInfo = ccColInfo, rowsPerRead = sqlRowsPerRead)La source de données sqlFraudDS inclut désormais les nouvelles colonnes ajoutées à l’aide de ccColInfo.
À ce stade, les modifications affectent uniquement l’objet de source de données dans R. Aucune nouvelle donnée n’a encore été écrite dans la table de base de données. Toutefois, vous pouvez utiliser les données capturées dans la variable sumOut pour créer des visualisations et des synthèses.
Conseil
Si vous avez oublié le contexte de calcul que vous utilisez, exécutez rxGetComputeContext() . Une valeur renvoyée « RxLocalSeq Compute Context » indique que l’exécution a lieu dans le contexte de calcul local.
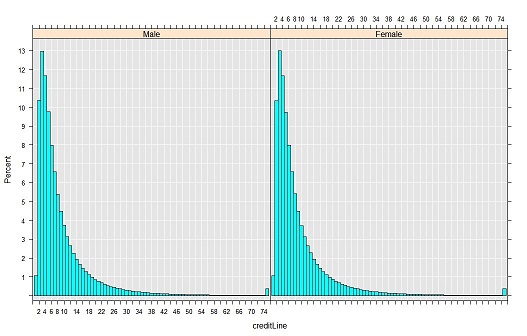
Visualiser des données à l’aide de rxHistogram
Le code R suivant permet d’appeler la fonction rxHistogram et de passer une formule et une source de données. Le code peut être exécuté localement dans un premier temps, afin de voir les résultats attendus et combien de temps peut durer son exécution.
rxHistogram(~creditLine|gender, data = sqlFraudDS, histType = "Percent")En interne, rxHistogram appelle la fonction rxCube , qui est incluse dans le package RevoScaleR . rxCube génère une liste unique (ou trame de données) qui contient une colonne pour chaque variable spécifiée dans la formule, plus une colonne de nombres.
À présent, définissez le contexte de calcul sur l’ordinateur SQL Server distant, puis réexécutez rxHistogram.
rxSetComputeContext(sqlCompute) rxHistogram(~creditLine|gender, data = sqlFraudDS, histType = "Percent")Les résultats sont exactement les mêmes, puisque vous utilisez la même source de données. Cependant, dans la deuxième étape, les calculs sont effectués sur l’ordinateur distant. Les résultats sont ensuite renvoyés à votre station de travail locale à des fins de traçage.

Créer une visualisation avec des nuages de points
Les nuages de points sont souvent utilisés lors de l’exploration des données pour comparer la relation entre deux variables. Vous pouvez utiliser des packages R intégrés avec les entrées fournies par les fonctions RevoScaleR.
Appelez la fonction rxCube pour calculer la moyenne de fraudRisk pour chaque combinaison de numTrans et numIntlTrans :
cube1 <- rxCube(fraudRisk~F(numTrans):F(numIntlTrans), data = sqlFraudDS)Pour spécifier les groupes utilisés pour calculer les moyennes de groupe, utilisez la notation
F(). Dans cet exemple,F(numTrans):F(numIntlTrans)indique que les entiers dans les variablesnumTransetnumIntlTransdoivent être traités comme des variables catégorielles, avec un niveau pour chaque valeur d’entier.La valeur renvoyée par défaut de rxCube est un objet rxCubequi représente un tableau croisé.
Appelez la fonction rxResultsDF pour convertir les résultats en une trame de données facilement exploitable dans l’une des fonctions de traçage standard de R.
cubePlot <- rxResultsDF(cube1)La fonction rxCube inclut un argument facultatif, returnDataFrame = TRUE, que vous pouvez utiliser pour convertir les résultats en une trame de données directement. Par exemple :
print(rxCube(fraudRisk~F(numTrans):F(numIntlTrans), data = sqlFraudDS, returnDataFrame = TRUE))Toutefois, la sortie de rxResultsDF est plus propre et préserve le nom des colonnes sources. Vous pouvez exécuter
head(cube1)suivi parhead(cubePlot)pour comparer la sortie.Créez une carte thermique en utilisant la fonction levelplot du package lattice inclus dans toutes les distributions de R.
levelplot(fraudRisk~numTrans*numIntlTrans, data = cubePlot)Résultats

À partir de cette analyse rapide, vous pouvez voir que le risque de fraude augmente avec le nombre de transactions et le nombre de transactions internationales.
Pour plus d’informations sur la fonction rxCube et sur les analyses croisées en général, consultez How to summarize data using RevoScaleR (Comment synthétiser des données à l’aide de RevoScaleR).