次の方法で共有


D2D1_3DTRANSFORM_PROP列挙 (d2d1effects.h)

3D 変換効果のプロパティの識別子。

構文

typedef enum D2D1_3DTRANSFORM_PROP {
  D2D1_3DTRANSFORM_PROP_INTERPOLATION_MODE = 0,
  D2D1_3DTRANSFORM_PROP_BORDER_MODE = 1,
  D2D1_3DTRANSFORM_PROP_TRANSFORM_MATRIX = 2,
  D2D1_3DTRANSFORM_PROP_FORCE_DWORD = 0xffffffff
} ;

定数

 
D2D1_3DTRANSFORM_PROP_INTERPOLATION_MODE
値: 0
画像に対して効果が使用する補間モード。 品質と速度の範囲には 5 つのスケール モードがあります。


型がD2D1_3DTRANSFORM_INTERPOLATION_MODE。

既定値はD2D1_3DTRANSFORM_INTERPOLATION_MODE_LINEARです。
D2D1_3DTRANSFORM_PROP_BORDER_MODE
値: 1
イメージの境界線を計算するために使用されるモード (ソフトまたはハード)。 詳細については、「罫線モード」を参照してください。


型がD2D1_BORDER_MODE。

既定値は D2D1_BORDER_MODE_SOFT です。
D2D1_3DTRANSFORM_PROP_TRANSFORM_MATRIX
値: 2
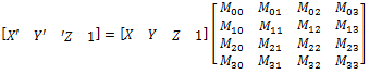
投影面に適用される 4 x 4 変換行列。 次のマトリックス計算は、1 つの 3D 座標系からポイントをマップするために使用されます
変換された 2D 座標系に変換されます。


3D 深度マトリックス
各値の説明:

X、Y、Z = 入力投影面座標

Mx,y = 行列要素の変換

X'、Y'、Z' =出力投影面座標




個々のマトリックス要素は境界付けされず、単位なしです。

型がD2D1_MATRIX_4X4_F。

既定値は Matrix4x4F(1, 0, 0, 0,
0, 1, 0, 0,
0, 0, 1, 0,
0, 0, 0, 1).
D2D1_3DTRANSFORM_PROP_FORCE_DWORD
値: 0xffffffff

要件

要件
Header d2d1effects.h