다음을 통해 공유


보고서 정의 계기 개요 다이어그램

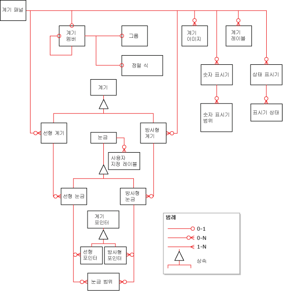
다음 다이어그램은 RDL(Report Definition Language)의 계기 요소의 관계를 보여 줍니다.

계기 요소 개요 다이어그램