다음을 통해 공유


D2D1_3DTRANSFORM_PROP 열거형(d2d1effects.h)

3D 변환 효과의 속성에 대한 식별자입니다.

Syntax

typedef enum D2D1_3DTRANSFORM_PROP {
  D2D1_3DTRANSFORM_PROP_INTERPOLATION_MODE = 0,
  D2D1_3DTRANSFORM_PROP_BORDER_MODE = 1,
  D2D1_3DTRANSFORM_PROP_TRANSFORM_MATRIX = 2,
  D2D1_3DTRANSFORM_PROP_FORCE_DWORD = 0xffffffff
} ;

상수

 
D2D1_3DTRANSFORM_PROP_INTERPOLATION_MODE
값: 0
효과가 이미지에 사용하는 보간 모드입니다. 품질과 속도의 범위는 5가지 배율 모드입니다.


형식이 D2D1_3DTRANSFORM_INTERPOLATION_MODE.

기본값은 D2D1_3DTRANSFORM_INTERPOLATION_MODE_LINEAR.
D2D1_3DTRANSFORM_PROP_BORDER_MODE
값: 1
소프트 또는 하드 이미지의 테두리를 계산하는 데 사용되는 모드입니다. 자세한 내용은 테두리 모드를 참조하세요.


형식이 D2D1_BORDER_MODE.

기본값은 D2D1_BORDER_MODE_SOFT.
D2D1_3DTRANSFORM_PROP_TRANSFORM_MATRIX
값: 2
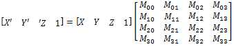
프로젝션 평면에 적용된 4x4 변환 행렬입니다. 다음 행렬 계산은 하나의 3D 좌표계에서 점을 매핑하는 데 사용됩니다.
변환된 2D 좌표계로


3D 깊이 행렬
위치:

X, Y, Z = 입력 프로젝션 평면 좌표

Mx,y = 행렬 요소 변환

X', Y', Z' =출력 프로젝션 평면 좌표




개별 행렬 요소는 바인딩되지 않으며 단위가 없습니다.

형식이 D2D1_MATRIX_4X4_F.

기본값은 Matrix4x4F(1, 0, 0, 0,
0, 1, 0, 0,
0, 0, 1, 0,
0, 0, 0, 1).
D2D1_3DTRANSFORM_PROP_FORCE_DWORD
값: 0xffffffff

요구 사항

요구 사항
헤더 d2d1effects.h