Nuta
Dostęp do tej strony wymaga autoryzacji. Możesz spróbować się zalogować lub zmienić katalog.
Dostęp do tej strony wymaga autoryzacji. Możesz spróbować zmienić katalogi.
Identifiers for properties of the 3D transform effect.
Syntax
typedef enum D2D1_3DTRANSFORM_PROP {
D2D1_3DTRANSFORM_PROP_INTERPOLATION_MODE = 0,
D2D1_3DTRANSFORM_PROP_BORDER_MODE = 1,
D2D1_3DTRANSFORM_PROP_TRANSFORM_MATRIX = 2,
D2D1_3DTRANSFORM_PROP_FORCE_DWORD = 0xffffffff
} ;
Constants
D2D1_3DTRANSFORM_PROP_INTERPOLATION_MODEValue: 0 The interpolation mode the effect uses on the image. There are 5 scale modes that range in quality and speed. Type is D2D1_3DTRANSFORM_INTERPOLATION_MODE. Default value is D2D1_3DTRANSFORM_INTERPOLATION_MODE_LINEAR. |
D2D1_3DTRANSFORM_PROP_BORDER_MODEValue: 1 The mode used to calculate the border of the image, soft or hard. See Border modes for more info. Type is D2D1_BORDER_MODE. Default value is D2D1_BORDER_MODE_SOFT. |
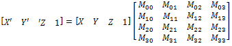
D2D1_3DTRANSFORM_PROP_TRANSFORM_MATRIXValue: 2 A 4x4 transform matrix applied to the projection plane. The following matrix calculation is used to map points from one 3D coordinate system to the transformed 2D coordinate system. ![]() Where:
The individual matrix elements are not bounded and are unitless. Type is D2D1_MATRIX_4X4_F. Default value is Matrix4x4F(1, 0, 0, 0, 0, 1, 0, 0, 0, 0, 1, 0, 0, 0, 0, 1). |
D2D1_3DTRANSFORM_PROP_FORCE_DWORDValue: 0xffffffff |
Requirements
| Requirement | Value |
|---|---|
| Header | d2d1effects.h |
