Compartilhar via


Analise logs do site usando uma biblioteca Python personalizada com cluster do Apache Spark no HDInsight

Este notebook demonstra como analisar dados de log usando uma biblioteca personalizada com o Apache Spark no HDInsight. A biblioteca personalizada que usamos é uma biblioteca Python chamada iislogparser.py.

Pré-requisitos

Um cluster do Apache Spark no HDInsight. Para obter instruções, consulte o artigo sobre como Criar clusters do Apache Spark no Azure HDInsight.

Salvar dados brutos como RDD

Nesta seção, usamos o Jupyter Notebook associado a um cluster do Apache Spark no HDInsight para executar trabalhos que processam dados brutos de exemplo e os salvam como uma tabela Hive. Os dados de exemplo são um arquivo .csv (hvac.csv) disponível em todos os clusters por padrão.

Depois que seus dados forem salvos como uma tabela do Apache Hive, na próxima seção, nos conectaremos à tabela Hive usando ferramentas de BI, como o Power BI e o Tableau.

  1. Em um navegador da Web, navegue até https://CLUSTERNAME.azurehdinsight.net/jupyter, em que CLUSTERNAME é o nome do cluster.

  2. Crie um novo bloco de anotações. Selecione Novo e, em seguida, PySpark.

    Create a new Apache Jupyter Notebook.Notebook" border="true":::

  3. Um novo bloco de anotações é criado e aberto com o nome Untitled.pynb. Selecione o nome do notebook na parte superior e digite um nome amigável.

    Provide a name for the notebook.

  4. Por ter criado um notebook usando o kernel PySpark, não será necessário criar nenhum contexto explicitamente. Os contextos do Spark e do Hive serão criados automaticamente para você ao executar a primeira célula do código. Você pode começar importando os tipos que são obrigatórios para este cenário. Cole o snippet a seguir em uma célula vazia e pressione Shift + Enter.

    from pyspark.sql import Row
    from pyspark.sql.types import *
    
  5. Crie um RDD usando os dados de log de exemplo já disponíveis no cluster. Você pode acessar os dados na conta de armazenamento padrão associada ao cluster em \HdiSamples\HdiSamples\WebsiteLogSampleData\SampleLog\909f2b.log. Execute o seguinte código:

    logs = sc.textFile('wasbs:///HdiSamples/HdiSamples/WebsiteLogSampleData/SampleLog/909f2b.log')
    
  6. Recupere um log de exemplo definido para verificar se a etapa anterior foi concluída com êxito.

    logs.take(5)
    

    Você deverá ver um resultado semelhante ao texto abaixo:

    [u'#Software: Microsoft Internet Information Services 8.0',
    u'#Fields: date time s-sitename cs-method cs-uri-stem cs-uri-query s-port cs-username c-ip cs(User-Agent) cs(Cookie) cs(Referer) cs-host sc-status sc-substatus sc-win32-status sc-bytes cs-bytes time-taken',
    u'2014-01-01 02:01:09 SAMPLEWEBSITE GET /blogposts/mvc4/step2.png X-ARR-LOG-ID=2ec4b8ad-3cf0-4442-93ab-837317ece6a1 80 - 1.54.23.196 Mozilla/5.0+(Windows+NT+6.3;+WOW64)+AppleWebKit/537.36+(KHTML,+like+Gecko)+Chrome/31.0.1650.63+Safari/537.36 - http://weblogs.asp.net/sample/archive/2007/12/09/asp-net-mvc-framework-part-4-handling-form-edit-and-post-scenarios.aspx www.sample.com 200 0 0 53175 871 46',
    u'2014-01-01 02:01:09 SAMPLEWEBSITE GET /blogposts/mvc4/step3.png X-ARR-LOG-ID=9eace870-2f49-4efd-b204-0d170da46b4a 80 - 1.54.23.196 Mozilla/5.0+(Windows+NT+6.3;+WOW64)+AppleWebKit/537.36+(KHTML,+like+Gecko)+Chrome/31.0.1650.63+Safari/537.36 - http://weblogs.asp.net/sample/archive/2007/12/09/asp-net-mvc-framework-part-4-handling-form-edit-and-post-scenarios.aspx www.sample.com 200 0 0 51237 871 32',
    u'2014-01-01 02:01:09 SAMPLEWEBSITE GET /blogposts/mvc4/step4.png X-ARR-LOG-ID=4bea5b3d-8ac9-46c9-9b8c-ec3e9500cbea 80 - 1.54.23.196 Mozilla/5.0+(Windows+NT+6.3;+WOW64)+AppleWebKit/537.36+(KHTML,+like+Gecko)+Chrome/31.0.1650.63+Safari/537.36 - http://weblogs.asp.net/sample/archive/2007/12/09/asp-net-mvc-framework-part-4-handling-form-edit-and-post-scenarios.aspx www.sample.com 200 0 0 72177 871 47']
    

Analise os dados de log usando uma biblioteca Python personalizada

  1. Na saída acima, as primeiras linhas incluem as informações de cabeçalho, e cada linha restante coincide com o esquema descrito naquele cabeçalho. Analisar esses logs pode ser complicado. Então, usamos uma biblioteca personalizada do Python (iislogparser.py) que torna a análise desses logs muito mais fácil. Por padrão, essa biblioteca é incluída com o cluster Spark no HDInsight em /HdiSamples/HdiSamples/WebsiteLogSampleData/iislogparser.py.

    No entanto, essa biblioteca não está no PYTHONPATH, então não podemos usá-la com uma instrução de importação como import iislogparser. Para usar essa biblioteca, devemos distribuí-la para todos os nós de trabalho. Execute o snippet de código a seguir.

    sc.addPyFile('wasbs:///HdiSamples/HdiSamples/WebsiteLogSampleData/iislogparser.py')
    
  2. O iislogparser fornece uma função parse_log_line que retorna None se uma linha do log for uma linha de cabeçalho, e retorna uma instância da classe LogLine se encontrar uma linha do log. Use a classe LogLine para extrair somente as linhas do log do RDD:

    def parse_line(l):
        import iislogparser
        return iislogparser.parse_log_line(l)
    logLines = logs.map(parse_line).filter(lambda p: p is not None).cache()
    
  3. Recupere algumas linhas de log extraídas para verificar se a etapa foi concluída com êxito.

    logLines.take(2)
    

    A saída deve ser semelhante a este texto:

    [2014-01-01 02:01:09 SAMPLEWEBSITE GET /blogposts/mvc4/step2.png X-ARR-LOG-ID=2ec4b8ad-3cf0-4442-93ab-837317ece6a1 80 - 1.54.23.196 Mozilla/5.0+(Windows+NT+6.3;+WOW64)+AppleWebKit/537.36+(KHTML,+like+Gecko)+Chrome/31.0.1650.63+Safari/537.36 - http://weblogs.asp.net/sample/archive/2007/12/09/asp-net-mvc-framework-part-4-handling-form-edit-and-post-scenarios.aspx www.sample.com 200 0 0 53175 871 46,
    2014-01-01 02:01:09 SAMPLEWEBSITE GET /blogposts/mvc4/step3.png X-ARR-LOG-ID=9eace870-2f49-4efd-b204-0d170da46b4a 80 - 1.54.23.196 Mozilla/5.0+(Windows+NT+6.3;+WOW64)+AppleWebKit/537.36+(KHTML,+like+Gecko)+Chrome/31.0.1650.63+Safari/537.36 - http://weblogs.asp.net/sample/archive/2007/12/09/asp-net-mvc-framework-part-4-handling-form-edit-and-post-scenarios.aspx www.sample.com 200 0 0 51237 871 32]
    
  4. A classe LogLine, por sua vez, tem alguns métodos úteis, como is_error(), que retorna se uma entrada de log tem um código de erro. Use essa classe para computar o número de erros nas linhas de log extraídas e então registre todos os erros em um arquivo diferente.

    errors = logLines.filter(lambda p: p.is_error())
    numLines = logLines.count()
    numErrors = errors.count()
    print 'There are', numErrors, 'errors and', numLines, 'log entries'
    errors.map(lambda p: str(p)).saveAsTextFile('wasbs:///HdiSamples/HdiSamples/WebsiteLogSampleData/SampleLog/909f2b-2.log')
    

    A saída deve declarar There are 30 errors and 646 log entries.

  5. Você também pode usar Matplotlib para construir uma visualização dos dados. Por exemplo, se você quiser isolar a causa de solicitações executadas por um longo tempo, talvez queira localizar os arquivos que, em média, levam mais tempo para atender. O snippet a seguir recupera os 25 principais recursos que levaram mais tempo para atender uma solicitação.

    def avgTimeTakenByKey(rdd):
        return rdd.combineByKey(lambda line: (line.time_taken, 1),
                                lambda x, line: (x[0] + line.time_taken, x[1] + 1),
                                lambda x, y: (x[0] + y[0], x[1] + y[1]))\
                    .map(lambda x: (x[0], float(x[1][0]) / float(x[1][1])))
    
    avgTimeTakenByKey(logLines.map(lambda p: (p.cs_uri_stem, p))).top(25, lambda x: x[1])
    

    Você deverá ver uma saída como o seguinte texto:

    [(u'/blogposts/mvc4/step13.png', 197.5),
    (u'/blogposts/mvc2/step10.jpg', 179.5),
    (u'/blogposts/extractusercontrol/step5.png', 170.0),
    (u'/blogposts/mvc4/step8.png', 159.0),
    (u'/blogposts/mvcrouting/step22.jpg', 155.0),
    (u'/blogposts/mvcrouting/step3.jpg', 152.0),
    (u'/blogposts/linqsproc1/step16.jpg', 138.75),
    (u'/blogposts/linqsproc1/step26.jpg', 137.33333333333334),
    (u'/blogposts/vs2008javascript/step10.jpg', 127.0),
    (u'/blogposts/nested/step2.jpg', 126.0),
    (u'/blogposts/adminpack/step1.png', 124.0),
    (u'/BlogPosts/datalistpaging/step2.png', 118.0),
    (u'/blogposts/mvc4/step35.png', 117.0),
    (u'/blogposts/mvcrouting/step2.jpg', 116.5),
    (u'/blogposts/aboutme/basketball.jpg', 109.0),
    (u'/blogposts/anonymoustypes/step11.jpg', 109.0),
    (u'/blogposts/mvc4/step12.png', 106.0),
    (u'/blogposts/linq8/step0.jpg', 105.5),
    (u'/blogposts/mvc2/step18.jpg', 104.0),
    (u'/blogposts/mvc2/step11.jpg', 104.0),
    (u'/blogposts/mvcrouting/step1.jpg', 104.0),
    (u'/blogposts/extractusercontrol/step1.png', 103.0),
    (u'/blogposts/sqlvideos/sqlvideos.jpg', 102.0),
    (u'/blogposts/mvcrouting/step21.jpg', 101.0),
    (u'/blogposts/mvc4/step1.png', 98.0)]
    
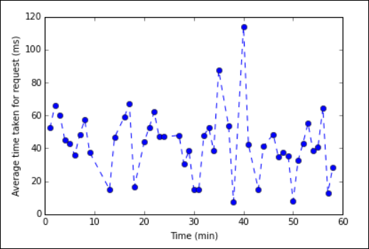
  6. Você também pode apresentar essas informações na forma do gráfico. Como uma primeira etapa para criar um gráfico, criaremos uma tabela AverageTimetemporária. A tabela agrupa os logs por hora para ver se houve quaisquer picos incomuns de latência em um determinado momento.

    avgTimeTakenByMinute = avgTimeTakenByKey(logLines.map(lambda p: (p.datetime.minute, p))).sortByKey()
    schema = StructType([StructField('Minutes', IntegerType(), True),
                        StructField('Time', FloatType(), True)])
    
    avgTimeTakenByMinuteDF = sqlContext.createDataFrame(avgTimeTakenByMinute, schema)
    avgTimeTakenByMinuteDF.registerTempTable('AverageTime')
    
  7. Você pode então executar a seguinte consulta SQL para obter todos os registros da tabela AverageTime .

    %%sql -o averagetime
    SELECT * FROM AverageTime
    

    A mágica do %%sql seguido pelo -o averagetime assegura que a saída da consulta seja mantida localmente no servidor Jupyter (normalmente o nó principal do cluster). A saída é mantida como uma estrutura de dados Pandas com o nome especificado averagetime.

    Você deverá ver uma saída como esta imagem:

    hdinsight jupyter sql query output. yter sql query output" border="true":::

    Para obter mais informações sobre a palavra mágica %%sql, consulte Parâmetros com suporte na palavra mágica %%sql.

  8. Agora você pode usar Matplotlib, uma biblioteca usada para construir a visualização de dados para criar um gráfico. Como o gráfico deve ser criado da estrutura de dados averagetime mantida localmente, o snippet de código deve começar com a mágica %%local. Isso garante que o código seja executado localmente no servidor do Jupyter.

    %%local
    %matplotlib inline
    import matplotlib.pyplot as plt
    
    plt.plot(averagetime['Minutes'], averagetime['Time'], marker='o', linestyle='--')
    plt.xlabel('Time (min)')
    plt.ylabel('Average time taken for request (ms)')
    

    Você deverá ver uma saída como esta imagem:

    apache spark web log analysis plot. eb log analysis plot" border="true":::

  9. Depois de concluir a execução do aplicativo, você deve encerrar o bloco de anotações para liberar os recursos. Para fazer isso, no menu Arquivo do notebook, selecione Fechar e Interromper. Essa ação fechará o notebook.

Próximas etapas

Explore estes artigos: