Observação
O acesso a essa página exige autorização. Você pode tentar entrar ou alterar diretórios.
O acesso a essa página exige autorização. Você pode tentar alterar os diretórios.
Um estado de energia do dispositivo descreve o estado de energia de um dispositivo em um computador, independentemente dos outros dispositivos no computador. Os estados de energia do dispositivo são nomeados D0, D1, D2 e D3. D0 é o estado totalmente ativado e D1, D2 e D3 são estados de baixo consumo de energia. O número do estado está inversamente relacionado ao consumo de energia: estados com números mais altos usam menos energia. A partir do Windows 8, o estado D3 é dividido em dois subestados, D3hot e D3cold.
Os seguintes atributos caracterizam os estados de energia do dispositivo:
Consumo de energia: quanta energia o dispositivo usa?
Contexto do dispositivo: quanto de seu contexto operacional o dispositivo retém nesse estado?
Comportamento do driver de dispositivo: o que os drivers do dispositivo devem fazer para restaurar o dispositivo ao estado totalmente operacional?
Tempo de restauração: quanto tempo leva para restaurar o dispositivo ao estado totalmente operacional? A maioria dos tipos de dispositivos tem tempos de restauração modestos que diferem pouco de uma classe de dispositivo para outra. Apenas alguns tipos de dispositivos, como GPUs, têm grandes contextos de hardware que levam mais tempo para serem restaurados.
Capacidade de ativação: o dispositivo pode solicitar a ativação desse estado? Em geral, se um dispositivo puder solicitar a ativação de um determinado estado de energia (por exemplo, D2), ele também poderá solicitar a ativação de qualquer estado de potência mais alta (D1).
As definições exatas dos estados de energia são específicas do dispositivo. Nem todos os dispositivos definem todos os estados; muitos dispositivos definem apenas os estados D0 e D3. Para obter mais informações, consulte a Especificação de Referência de Gerenciamento de Energia de Classe de Dispositivo para descobrir quais estados de energia do dispositivo são definidos para um dispositivo específico e quais são os requisitos operacionais para cada estado. (As especificações de referência estão disponíveis no ACPI / Gerenciamento de Energia.)
O estado de energia de um dispositivo não precisa corresponder ao estado de energia do sistema. Por exemplo, alguns dispositivos podem estar no estado desligado (D3), mesmo que o sistema esteja no estado de funcionamento do sistema (S0).
O estado de energia de um dispositivo pode parecer não estar relacionado ao estado de energia do barramento pai do dispositivo. Por exemplo, um dispositivo USB pode estar no estado D2 (suspensão seletiva) quando seu controlador de host pai está no estado D3. Esses dois estados parecem ser inconsistentes apenas porque as definições dos estados Dx são diferentes no USB e no barramento (normalmente PCI ou PCI Express) ao qual o controlador de host USB está conectado.
Alguns dispositivos são capazes de vários modos diferentes de baixo consumo de energia em um único estado de energia do dispositivo. Esse dispositivo pode usar esses modos se seu driver puder alternar automaticamente o dispositivo de um modo para outro sem alterar o estado de energia do dispositivo. Como regra geral, no entanto, se não houver diferença perceptível pelo usuário entre os modos, o dispositivo deverá usar apenas o modo de energia mais baixo. Se um modo de baixo consumo de energia, como um modo de baixa velocidade, afetar negativamente o desempenho ou não for transparente para um software diferente do driver do dispositivo, o hardware não deverá usá-lo automaticamente. Consulte a Especificação de Referência de Gerenciamento de Energia da Classe de Dispositivo para obter detalhes.
Um driver ou o gerenciador de energia pode solicitar uma transição de estado de energia do dispositivo e todos os drivers devem estar preparados para lidar com IRPs que solicitam essas transições. Para obter mais informações, consulte os seguintes artigos:
Envio de IRP_MN_QUERY_POWER ou IRP_MN_SET_POWER para estados de energia do dispositivo
Manipulando IRP_MN_QUERY_POWER para estados de energia do dispositivo
Manipulando IRP_MN_SET_POWER para estados de energia do dispositivo
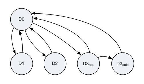
Assim como o sistema, um dispositivo pode fazer a transição do estado de trabalho (D0) para qualquer estado de baixo consumo de energia (D1, D2 ou D3) e de qualquer estado de baixo consumo de energia para o estado de trabalho. O diagrama a seguir é um gráfico de estado que mostra as transições de estado de energia do dispositivo válidas.
Este gráfico mostra a subdivisão de D3 em D3hot e D3cold. D3hot e D3cold são definidos a partir do Windows 8. Todos os dispositivos são necessários para dar suporte ao estado D0 e ao subestado D3hot. Os outros estados mostrados no diagrama são opcionais.
No gráfico anterior, a transição de D3hot para D3cold é a única transição direta entre os estados de baixa energia do dispositivo. Todas as outras transições entre estados de baixa energia exigem uma transição intermediária para D0, o que permite que o driver de dispositivo configure o hardware do dispositivo, conforme necessário, para inserir o próximo estado de baixa energia ou permanecer em D0. No entanto, um dispositivo sai do D3hot e entra no D3cold quando a energia do dispositivo é desligada, o que não requer intervenção do driver do dispositivo. Esse driver faz qualquer configuração necessária do hardware do dispositivo antes que o dispositivo insira D3hot; nenhuma outra configuração é necessária para preparar o dispositivo para a transição de D3hot para D3cold. Para obter mais informações, consulte Suporte a D3cold em um driver.
Mapeamento de estado D da porta raiz PCI para o endpoint
Em sistemas Windows 10, o estado geral de energia da plataforma depende dos estados de energia (estados D) de dispositivos integrados SoC (System on Chip), incluindo as portas raiz PCI. Dependendo da plataforma que você está desenvolvendo, os requisitos de estado D para portas raiz de PCI podem variar para cada estado de energia da plataforma. Consulte a documentação específica da plataforma IHV para requisitos de estado de energia de dispositivo e plataforma.
A tabela a seguir mostra o mapeamento de estado de energia das Portas Raiz PCI e seus pontos de extremidade anexados. Os estados D dos endpoints listados na tabela devem ser alcançados para que a Porta Raiz entre no estado D de destino.
| Estado D de destino da porta raiz | Estado D do ponto final |
|---|---|
| D0 | D0, D0:F1 |
| D0:F1 | D3hot |
| D3hot | D3cold (consulte a observação a seguir) |
Observação
O estado de energia fria PCI D3 requer suporte a BIOS e driver de dispositivo. Se o suporte estiver ausente, o endpoint PCI só poderá alcançar D3Hot. Para obter mais informações, consulte Suporte a D3Cold em um driver.