Compartilhar via


Efeito de transformação 3D

Use o efeito de transformação 3D para aplicar uma matriz de transformação 4x4 arbitrária a uma imagem.

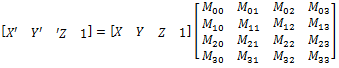
Esse efeito aplica a matriz (M?) que você fornece aos vértices de canto da imagem de origem ([ x y z 1 ]) usando este cálculo:

[ xr yr zr 1 ]=[ x y z 1 ]*M?

O CLSID para esse efeito é CLSID_D2D13DTransform.

Imagem de exemplo

Antes
a imagem antes da transformação.
Depois
a imagem após a transformação.
ComPtr<ID2D1Effect> D2D13DTransformEffect;
m_d2dContext->CreateEffect(CLSID_D2D13DTransform, &D2D13DTransformEffect);

D2D13DTransformEffect->SetInput(0, bitmap);

// You can use the helper methods in D2D1::Matrix4x4F to create common matrix transformations.
D2D1_MATRIX_4X4_F matrix = 
    D2D1::Matrix4x4F::Translation(0.0f, -192.0f, 0.0f) *
    D2D1::Matrix4x4F::RotationY(30.0f) *
    D2D1::Matrix4x4F::Translation(0.0f, 192.0f, 0.0f);

D2D13DTransformEffect->SetValue(D2D1_3DTRANSFORM_PROP_TRANSFORM_MATRIX, matrix);

m_d2dContext->BeginDraw();
m_d2dContext->DrawImage(D2D13DTransformEffect.Get());
m_d2dContext->EndDraw();

Propriedades de efeito

Nome de exibição e enumeração de índice Descrição
InterpolationMode
D2D1_3DTRANSFORM_PROP_INTERPOLATION_MODE
O modo de interpolação que o efeito usa na imagem. Há cinco modos de escala que variam em qualidade e velocidade.
O tipo é D2D1_3DTRANSFORM_INTERPOLATION_MODE.
O valor padrão é D2D1_3DTRANSFORM_INTERPOLATION_MODE_LINEAR.
BorderMode
D2D1_3DTRANSFORM_PROP_BORDER_MODE
O modo usado para calcular a borda da imagem, flexível ou dura. Consulte modos de borda para obter mais informações.
O tipo é D2D1_BORDER_MODE.
O valor padrão é D2D1_BORDER_MODE_SOFT.
TransformMatrix
D2D1_3DTRANSFORM_PROP_TRANSFORM_MATRIX
Uma matriz de transformação 4x4 aplicada ao plano de projeção. O cálculo de matriz a seguir é usado para mapear pontos de um sistema de coordenadas 3D para o sistema de coordenadas 2D transformado.
matriz de profundidade 3D onde:
X, Y, Z = Coordenadas do plano de projeção de entrada
Mx,y = Elementos de Matriz de Transformação
Coordenadas do plano de projeção X, Y, Z =Saída

Os elementos de matriz individuais não são limitados e não têm unidade.
O tipo é D2D1_MATRIX_4X4_F.
O valor padrão é Matrix4x4F(1, 0, 0, 0, 0, 1, 0, 0, 0, 0, 1, 0, 0, 0, 1).

Modos de interpolação

Enumeração Descrição
D2D1_3DTRANSFORM_INTERPOLATION_MODE_NEAREST_NEIGHBOR Amostra o ponto único mais próximo e usa isso. Esse modo usa menos tempo de processamento, mas gera a imagem de menor qualidade.
D2D1_3DTRANSFORM_INTERPOLATION_MODE_LINEAR Usa um exemplo de quatro pontos e interpolação linear. Esse modo usa mais tempo de processamento do que o modo vizinho mais próximo, mas gera uma imagem de qualidade mais alta.
D2D1_3DTRANSFORM_INTERPOLATION_MODE_CUBIC Usa um kernel cúbico de 16 amostras para interpolação. Esse modo usa mais tempo de processamento, mas gera uma imagem de qualidade mais alta.
D2D1_3DTRANSFORM_INTERPOLATION_MODE_MULTI_SAMPLE_LINEAR Usa 4 exemplos lineares em um único pixel para um bom anti-aliasing de borda. Esse modo é bom para reduzir verticalmente em pequenas quantidades em imagens com poucos pixels.
D2D1_3DTRANSFORM_INTERPOLATION_MODE_ANISOTROPIC Usa a filtragem anisotrópica para amostrar um padrão de acordo com a forma transformada do bitmap.

Nota

Se você não selecionar um modo, o efeito será D2D1_3DTRANSFORM_INTERPOLATION_MODE_LINEAR padrão.

Nota

O modo anisotropic gera mipmaps ao dimensionar, no entanto, se você definir a propriedade Cache como true nos efeitos que são inseridos nesse efeito, os mipmaps não serão gerados sempre para imagens suficientemente pequenas.

Modos de borda

Nome Descrição
D2D1_BORDER_MODE_SOFT O efeito armazena a imagem com pixels pretos transparentes à medida que interpola, resultando em uma borda suave.
D2D1_BORDER_MODE_HARD O efeito fixa a saída ao tamanho da imagem de entrada.

Classe de matriz de transformação 4x4

O Direct2D fornece uma classe de matriz 4x4 para fornecer funções auxiliares para transformar a imagem em três dimensões. Consulte o tópicoMatrix4x4F para obter mais informações e uma descrição de todos os membros da classe.

Função Descrição Matriz
Matrix4x4F::Scale(X, Y, Z) Gera uma matriz de transformação que dimensiona o plano de projeção na direção X, Y e/ou Z. matriz scale3d
SkewX(X) Gera uma matriz de transformação que distorce o plano de projeção na direção X. Mostra uma matriz de distorção na direção X.
SkewY(Y) Gera uma matriz de transformação que distorce o plano de projeção na direção Y. de matriz de distorção
Translation(X, Y, Z) Gera uma matriz de transformação que converte o plano de projeção na direção X, Y ou Z. de matriz de tradução
RotationX(X) Gera uma matriz de transformação que gira o plano de projeção sobre o eixo X. girar de matriz x
RotationY(Y) Gera uma matriz de transformação que gira o plano de projeção sobre o eixo Y. girar a matriz y
RotationZ(Z) Gera uma matriz de transformação que gira o plano de projeção sobre o eixo Z. girar a matriz z
PerspectiveProjection(D) Uma transformação de perspectiva com um valor de profundidade de D. matriz de perspectiva
RotationArbitraryAxis(X, Y, Z, degrees) Gira o plano de projeção sobre o eixo especificado.

Requisitos

Requisito Valor
Cliente mínimo com suporte Windows 8 e Platform Update para Windows 7 [aplicativos da área de trabalho | Aplicativos da Windows Store]
Servidor mínimo com suporte Windows 8 e Platform Update para Windows 7 [aplicativos da área de trabalho | Aplicativos da Windows Store]
Cabeçalho d2d1effects.h
Biblioteca d2d1.lib, dxguid.lib

ID2D1Effect