Partilhar via


Tutorial Parte 2: Explorar e visualizar dados usando blocos de anotações do Microsoft Fabric

Neste tutorial, você aprenderá como conduzir a análise exploratória de dados (EDA) para examinar e investigar os dados enquanto resume suas principais características por meio do uso de técnicas de visualização de dados.

Você usará seaborn, uma biblioteca de visualização de dados Python que fornece uma interface de alto nível para criar visuais em dataframes e matrizes. Para obter mais informações sobre seaborn, consulte Seaborn: Statistical Data Visualization.

Você também usará o Data Wrangler, uma ferramenta baseada em notebook que oferece uma experiência imersiva para realizar análises e limpezas exploratórias de dados.

As principais etapas neste tutorial são:

  1. Leia os dados armazenados a partir de uma tabela delta na casa do lago.
  2. Converta um Spark DataFrame em Pandas DataFrame, que as bibliotecas de visualização python suportam.
  3. Use o Data Wrangler para executar a limpeza e transformação inicial de dados.
  4. Execute a análise exploratória de dados usando seaborn.

Pré-requisitos

  • Obtenha uma assinatura Microsoft Fabric. Ou inscreva-se para obter uma avaliação gratuita do Microsoft Fabric.

  • Inicie sessão no Microsoft Fabric.

  • Altera para o Fabric usando o alternador de experiência no canto inferior esquerdo da sua página inicial.

    Captura de ecrã que mostra a seleção de Fabric no menu do comutador de experiências.

Esta é a parte 2 de 5 da série de tutoriais. Para concluir este tutorial, deve primeiro completar:

Siga com o bloco de notas

2-explore-cleanse-data.ipynb é o bloco de anotações que acompanha este tutorial.

Importante

Anexe a mesma casa do lago que você usou na Parte 1.

Leia dados brutos da casa do lago

Leia os dados brutos da secção Arquivos do lakehouse. Você carregou esses dados no bloco de anotações anterior. Certifique-se de ter anexado a mesma casa do lago que você usou na Parte 1 a este bloco de anotações antes de executar este código.

df = (
    spark.read.option("header", True)
    .option("inferSchema", True)
    .csv("Files/churn/raw/churn.csv")
    .cache()
)

Criar um DataFrame pandas a partir do conjunto de dados

Converta o spark DataFrame em pandas DataFrame para facilitar o processamento e a visualização.

df = df.toPandas()

Exibir dados brutos

Explore os dados brutos com display, faça algumas estatísticas básicas e mostre visualizações de gráficos. Observe que primeiro você precisa importar as bibliotecas necessárias, como Numpy, Pnadas, Seaborne Matplotlib para análise e visualização de dados.

import seaborn as sns
sns.set_theme(style="whitegrid", palette="tab10", rc = {'figure.figsize':(9,6)})
import matplotlib.pyplot as plt
import matplotlib.ticker as mticker
from matplotlib import rc, rcParams
import numpy as np
import pandas as pd
import itertools
display(df, summary=True)

Usar o Data Wrangler para executar a limpeza inicial de dados

Para explorar e transformar quaisquer pandas Dataframes no seu bloco de notas, inicie o Data Wrangler diretamente a partir do bloco de notas.

Observação

O Data Wrangler não pode ser aberto enquanto o kernel do notebook estiver ocupado. A execução da célula deve ser concluída antes de iniciar o Data Wrangler.

  1. No friso do bloco de notas separador de dados, selecione IniciarData Wrangler . Você verá uma lista de Pandas DataFrames ativados disponíveis para edição.
  2. Selecione o DataFrame que deseja abrir no Data Wrangler. Como este notebook contém apenas um DataFrame, df, selecione df.

A captura de ecrã mostra como abrir o gerenciador de dados a partir de um notebook.

O Data Wrangler inicia e gera uma visão geral descritiva dos seus dados. A tabela no meio mostra cada coluna de dados. O painel Resumo ao lado da tabela mostra informações sobre o DataFrame. Quando você seleciona uma coluna na tabela, o resumo é atualizado com informações sobre a coluna selecionada. Em alguns casos, os dados exibidos e resumidos serão uma exibição truncada do seu DataFrame. Quando isso acontecer, você verá a imagem de aviso no painel de resumo. Passe o cursor sobre este aviso para ver o texto que explica a situação.

Screenshot mostra a visão geral do manipulador de dados.

Cada operação que você faz pode ser aplicada em questão de cliques, atualizando a exibição de dados em tempo real e gerando código que você pode salvar de volta para o seu notebook como uma função reutilizável.

O restante desta seção orienta você pelas etapas para executar a limpeza de dados com o Data Wrangler.

Remover linhas duplicadas

No painel esquerdo há uma lista de operações (como Localizar e substituir, Formato, Fórmulas, Numérico) que pode executar no conjunto de dados.

  1. Expandir Localizar e substituir e selecionar Eliminar linhas duplicadas.

    Captura de tela mostra eliminar linhas duplicadas no localizar e substituir.

  2. Um painel é exibido para você selecionar a lista de colunas que deseja comparar para definir uma linha duplicada. Selecione a RowNumber e o CustomerId.

    No painel central está uma pré-visualização dos resultados desta operação. Sob a visualização está o código para executar a operação. Neste caso, os dados parecem permanecer inalterados. Mas como você está olhando para uma exibição truncada, é uma boa ideia ainda aplicar a operação.

    Captura de ecrã mostra eliminando linhas duplicadas no Data Wrangler.

  3. Selecione Aplicar (ao lado ou na parte inferior) para ir para a próxima etapa.

Remover linhas com dados ausentes

Use o Data Wrangler para soltar linhas com dados ausentes em todas as colunas.

  1. Selecione Eliminar valores ausentes de Localizar e substituir.

  2. Escolha Selecionar todos os nas colunas Destino.

    Captura de tela mostra a exclusão das linhas em falta no Data Wrangler.

  3. Selecione Aplicar para avançar para a próxima etapa.

Soltar colunas

Use o Data Wrangler para eliminar colunas que não são necessárias.

  1. Expanda o Esquema e selecione Eliminar colunas.

  2. Selecione RowNumber, CustomerId, Sobrenome. Essas colunas aparecem em vermelho na visualização, para mostrar que foram alteradas pelo código (neste caso, descartadas).

    A captura de tela mostra a remoção de colunas no Data Wrangler.

  3. Selecione Aplicar para avançar para a próxima etapa.

Adicionar código ao bloco de notas

Cada vez que selecionares Aplicar, uma nova etapa é criada no painel Etapas de Limpeza no canto inferior esquerdo. Na parte inferior do painel, selecione código de visualização para todas as etapas para exibir uma combinação de todas as etapas separadas.

Selecione Adicionar código ao bloco de anotações no canto superior esquerdo para fechar o Data Wrangler e adicionar o código automaticamente. O Adicionar código ao bloco de anotações encapsula o código em uma função e, em seguida, chama a função.

A captura de ecrã mostra o código de visualização e onde aceder a adicionar ao caderno de notas.

Dica

O código gerado pelo Data Wrangler não será aplicado até que você execute manualmente a nova célula.

Se você não usou o Data Wrangler, pode usar essa próxima célula de código.

Esse código é semelhante ao código produzido pelo Data Wrangler, mas adiciona no argumento inplace=True a cada uma das etapas geradas. Ao definir inplace=True, o Pandas irá sobrescrever o DataFrame original em vez de criar um novo DataFrame como resultado.

# Modified version of code generated by Data Wrangler 
# Modification is to add in-place=True to each step

# Define a new function that include all above Data Wrangler operations
def clean_data(df):
    # Drop rows with missing data across all columns
    df.dropna(inplace=True)
    # Drop duplicate rows in columns: 'RowNumber', 'CustomerId'
    df.drop_duplicates(subset=['RowNumber', 'CustomerId'], inplace=True)
    # Drop columns: 'RowNumber', 'CustomerId', 'Surname'
    df.drop(columns=['RowNumber', 'CustomerId', 'Surname'], inplace=True)
    return df

df_clean = clean_data(df.copy())
df_clean.head()

Explore os dados

Exiba alguns resumos e visualizações dos dados limpos.

Determinar atributos categóricos, numéricos e de destino

Use esse código para determinar atributos categóricos, numéricos e de destino.

# Determine the dependent (target) attribute
dependent_variable_name = "Exited"
print(dependent_variable_name)
# Determine the categorical attributes
categorical_variables = [col for col in df_clean.columns if col in "O"
                        or df_clean[col].nunique() <=5
                        and col not in "Exited"]
print(categorical_variables)
# Determine the numerical attributes
numeric_variables = [col for col in df_clean.columns if df_clean[col].dtype != "object"
                        and df_clean[col].nunique() >5]
print(numeric_variables)

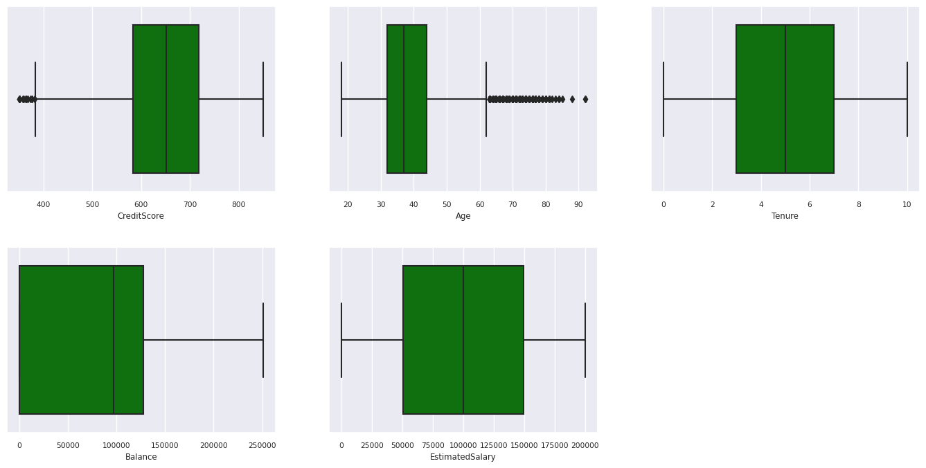
O resumo estatístico de cinco números

Mostrar o resumo de cinco números (a pontuação mínima, primeiro quartil, mediana, terceiro quartil, a pontuação máxima) para os atributos numéricos, usando gráficos de caixa.

df_num_cols = df_clean[numeric_variables]
sns.set(font_scale = 0.7) 
fig, axes = plt.subplots(nrows = 2, ncols = 3, gridspec_kw =  dict(hspace=0.3), figsize = (17,8))
fig.tight_layout()
for ax,col in zip(axes.flatten(), df_num_cols.columns):
    sns.boxplot(x = df_num_cols[col], color='green', ax = ax)
fig.delaxes(axes[1,2])

Gráfico mostra os resumos de cinco números.

Distribuição de clientes que saíram e os que não saíram.

Mostrar a distribuição de clientes saídos versus clientes não saídos entre os atributos categóricos.

attr_list = ['Geography', 'Gender', 'HasCrCard', 'IsActiveMember', 'NumOfProducts', 'Tenure']
df_clean['Exited'] = df_clean['Exited'].astype(str)
fig, axarr = plt.subplots(2, 3, figsize=(15, 4))
for ind, item in enumerate (attr_list):
    sns.countplot(x = item, hue = 'Exited', data = df_clean, ax = axarr[ind%2][ind//2])
fig.subplots_adjust(hspace=0.7)

O gráfico de barras mostra os clientes que saíram e os que não saíram.

Distribuição dos atributos numéricos

Mostrar a distribuição de frequência dos atributos numéricos usando histograma.

columns = df_num_cols.columns[: len(df_num_cols.columns)]
fig = plt.figure()
fig.set_size_inches(18, 8)
length = len(columns)
for i,j in itertools.zip_longest(columns, range(length)):
    plt.subplot((length // 2), 3, j+1)
    plt.subplots_adjust(wspace = 0.2, hspace = 0.5)
    df_num_cols[i].hist(bins = 20, edgecolor = 'black')
    plt.title(i)
plt.show()

Gráfico mostra a distribuição dos atributos numéricos.

Executar engenharia de características

Execute engenharia de recursos para gerar novos atributos com base nos atributos atuais:

df_clean['Tenure'] = df_clean['Tenure'].astype(int)
df_clean["NewTenure"] = df_clean["Tenure"]/df_clean["Age"]
df_clean["NewCreditsScore"] = pd.qcut(df_clean['CreditScore'], 6, labels = [1, 2, 3, 4, 5, 6])
df_clean["NewAgeScore"] = pd.qcut(df_clean['Age'], 8, labels = [1, 2, 3, 4, 5, 6, 7, 8])
df_clean["NewBalanceScore"] = pd.qcut(df_clean['Balance'].rank(method="first"), 5, labels = [1, 2, 3, 4, 5])
df_clean["NewEstSalaryScore"] = pd.qcut(df_clean['EstimatedSalary'], 10, labels = [1, 2, 3, 4, 5, 6, 7, 8, 9, 10])

Use o Data Wrangler para executar uma codificação a quente

O Data Wrangler também pode ser usado para executar uma codificação one-hot. Para isso, reabra o Data Wrangler. Desta vez, selecione os dados df_clean.

  1. Expanda Fórmulas e selecione Codificação a quente.
  2. Um painel é exibido para si selecionar a lista de colunas nas quais deseja executar uma codificação one-hot. Selecione Geography e Gender.

Você pode copiar o código gerado, fechar o Data Wrangler para retornar ao bloco de anotações e colar em uma nova célula. Ou, selecione Adicionar código ao bloco de notas no canto superior esquerdo para fechar o Data Wrangler e adicionar o código automaticamente.

Se você não usou o Data Wrangler, pode usar esta próxima célula de código:

# This is the same code that Data Wrangler will generate
 
import pandas as pd
 
def clean_data(df_clean):
    # One-hot encode columns: 'Geography', 'Gender'
    df_clean = pd.get_dummies(df_clean, columns=['Geography', 'Gender'])
    return df_clean
 
df_clean_1 = clean_data(df_clean.copy())
df_clean_1.head()

Resumo das observações da análise exploratória dos dados

  • A maioria dos clientes são da França, em comparação com a Espanha e a Alemanha, enquanto a Espanha tem a menor taxa de churn em comparação com a França e a Alemanha.
  • A maioria dos clientes tem cartões de crédito.
  • Há clientes cuja idade e pontuação de crédito estão acima de 60 e abaixo de 400, respectivamente, mas não podem ser considerados como outliers.
  • Pouquíssimos clientes têm mais de dois produtos do banco.
  • Os clientes que não estão ativos têm uma taxa de churn mais alta.
  • O género e os anos de posse não parecem ter impacto na decisão do cliente de encerrar a conta bancária.

Criar uma tabela delta para os dados limpos

Você usará esses dados no próximo bloco de anotações desta série.

table_name = "df_clean"
# Create Spark DataFrame from pandas
sparkDF=spark.createDataFrame(df_clean_1) 
sparkDF.write.mode("overwrite").format("delta").save(f"Tables/{table_name}")
print(f"Spark dataframe saved to delta table: {table_name}")

Próximo passo

Treine e registre modelos de aprendizado de máquina com estes dados: