共用方式為


在 HDInsight 上使用自定義 Python 連結庫搭配 Apache Spark 叢集分析網站記錄

此筆記本示範如何使用自定義連結庫搭配 HDInsight 上的 Apache Spark 分析記錄數據。 我們使用的自定義連結庫是稱為 iislogparser.py 的 Python 連結庫。

必要條件

HDInsight 上的 Apache Spark 叢集。 如需指示,請參閱在 Azure HDInsight 中建立 Apache Spark 叢集

將原始資料儲存為 RDD

在本節中,我們使用 與 HDInsight 中 Apache Spark 叢集相關聯的 Jupyter Notebook 來執行處理原始範例數據的作業,並將其儲存為 Hive 數據表。 根據預設,範例數據是所有叢集上可用的.csv檔案(hvac.csv)。

將數據儲存為 Apache Hive 數據表之後,在下一節中,我們將使用 Power BI 和 Tableau 等 BI 工具連線到 Hive 數據表。

  1. 從網頁瀏覽器瀏覽至 https://CLUSTERNAME.azurehdinsight.net/jupyter,其中 CLUSTERNAME 是叢集的名稱。

  2. 建立新的 Notebook。 選取 [新增],然後選取 [PySpark]。

    Create a new Apache Jupyter Notebook. Notebook“ border=”true“:::

  3. 系統隨即會建立新 Notebook,並以 Untitled.pynb 的名稱開啟。 在頂端選取筆記本名稱,然後輸入好記的名稱。

    Provide a name for the notebook.

  4. 由於您使用 PySpark 核心建立筆記本,因此不需要明確地建立任何內容。 當您執行第一個程式碼儲存格時,系統會自動為您建立 Spark 和 Hive 內容。 您可以從匯入此案例所需的類型開始。 將下列代碼段貼到空白儲存格中,然後按 Shift + Enter 鍵。

    from pyspark.sql import Row
    from pyspark.sql.types import *
    
  5. 使用叢集上已有的範例記錄數據建立 RDD。 您可以在存取與叢集相關聯的預設記憶體帳戶中的數據 \HdiSamples\HdiSamples\WebsiteLogSampleData\SampleLog\909f2b.log。 執行下列程式代碼:

    logs = sc.textFile('wasbs:///HdiSamples/HdiSamples/WebsiteLogSampleData/SampleLog/909f2b.log')
    
  6. 擷取範例記錄集,以確認上一個步驟是否已順利完成。

    logs.take(5)
    

    您應該會看到如下所示的文字:

    [u'#Software: Microsoft Internet Information Services 8.0',
    u'#Fields: date time s-sitename cs-method cs-uri-stem cs-uri-query s-port cs-username c-ip cs(User-Agent) cs(Cookie) cs(Referer) cs-host sc-status sc-substatus sc-win32-status sc-bytes cs-bytes time-taken',
    u'2014-01-01 02:01:09 SAMPLEWEBSITE GET /blogposts/mvc4/step2.png X-ARR-LOG-ID=2ec4b8ad-3cf0-4442-93ab-837317ece6a1 80 - 1.54.23.196 Mozilla/5.0+(Windows+NT+6.3;+WOW64)+AppleWebKit/537.36+(KHTML,+like+Gecko)+Chrome/31.0.1650.63+Safari/537.36 - http://weblogs.asp.net/sample/archive/2007/12/09/asp-net-mvc-framework-part-4-handling-form-edit-and-post-scenarios.aspx www.sample.com 200 0 0 53175 871 46',
    u'2014-01-01 02:01:09 SAMPLEWEBSITE GET /blogposts/mvc4/step3.png X-ARR-LOG-ID=9eace870-2f49-4efd-b204-0d170da46b4a 80 - 1.54.23.196 Mozilla/5.0+(Windows+NT+6.3;+WOW64)+AppleWebKit/537.36+(KHTML,+like+Gecko)+Chrome/31.0.1650.63+Safari/537.36 - http://weblogs.asp.net/sample/archive/2007/12/09/asp-net-mvc-framework-part-4-handling-form-edit-and-post-scenarios.aspx www.sample.com 200 0 0 51237 871 32',
    u'2014-01-01 02:01:09 SAMPLEWEBSITE GET /blogposts/mvc4/step4.png X-ARR-LOG-ID=4bea5b3d-8ac9-46c9-9b8c-ec3e9500cbea 80 - 1.54.23.196 Mozilla/5.0+(Windows+NT+6.3;+WOW64)+AppleWebKit/537.36+(KHTML,+like+Gecko)+Chrome/31.0.1650.63+Safari/537.36 - http://weblogs.asp.net/sample/archive/2007/12/09/asp-net-mvc-framework-part-4-handling-form-edit-and-post-scenarios.aspx www.sample.com 200 0 0 72177 871 47']
    

使用自定義 Python 連結庫分析記錄數據

  1. 在上述輸出中,前幾行包含標頭資訊,而其餘的每一行都符合該標頭中所述的架構。 剖析這類記錄可能會很複雜。 因此,我們使用自定義 Python 連結庫 (iislogparser.py),讓剖析這類記錄變得更容易。 根據預設,此連結庫會隨附於 HDInsight 上的 Spark 叢集。/HdiSamples/HdiSamples/WebsiteLogSampleData/iislogparser.py

    不過,此連結庫不在 中 PYTHONPATH ,因此無法使用匯入語句,例如 import iislogparser。 若要使用此連結庫,我們必須將其散發給所有背景工作節點。 執行下列代碼段。

    sc.addPyFile('wasbs:///HdiSamples/HdiSamples/WebsiteLogSampleData/iislogparser.py')
    
  2. iislogparser 提供函式,這個函 parse_log_line 式會在記錄行是標頭數據列時傳回 None ,並在遇到記錄行時傳回 類別的 LogLine 實例。 使用 類別 LogLine 僅從 RDD 擷取記錄行:

    def parse_line(l):
        import iislogparser
        return iislogparser.parse_log_line(l)
    logLines = logs.map(parse_line).filter(lambda p: p is not None).cache()
    
  3. 擷取幾個擷取的記錄行,以確認步驟是否已順利完成。

    logLines.take(2)
    

    輸出應該類似下列文字:

    [2014-01-01 02:01:09 SAMPLEWEBSITE GET /blogposts/mvc4/step2.png X-ARR-LOG-ID=2ec4b8ad-3cf0-4442-93ab-837317ece6a1 80 - 1.54.23.196 Mozilla/5.0+(Windows+NT+6.3;+WOW64)+AppleWebKit/537.36+(KHTML,+like+Gecko)+Chrome/31.0.1650.63+Safari/537.36 - http://weblogs.asp.net/sample/archive/2007/12/09/asp-net-mvc-framework-part-4-handling-form-edit-and-post-scenarios.aspx www.sample.com 200 0 0 53175 871 46,
    2014-01-01 02:01:09 SAMPLEWEBSITE GET /blogposts/mvc4/step3.png X-ARR-LOG-ID=9eace870-2f49-4efd-b204-0d170da46b4a 80 - 1.54.23.196 Mozilla/5.0+(Windows+NT+6.3;+WOW64)+AppleWebKit/537.36+(KHTML,+like+Gecko)+Chrome/31.0.1650.63+Safari/537.36 - http://weblogs.asp.net/sample/archive/2007/12/09/asp-net-mvc-framework-part-4-handling-form-edit-and-post-scenarios.aspx www.sample.com 200 0 0 51237 871 32]
    
  4. 類別 LogLine 接著會有一些有用的方法,例如 is_error(),它會傳回記錄專案是否有錯誤碼。 使用此類別來計算擷取記錄行中的錯誤數目,然後將所有錯誤記錄到不同的檔案。

    errors = logLines.filter(lambda p: p.is_error())
    numLines = logLines.count()
    numErrors = errors.count()
    print 'There are', numErrors, 'errors and', numLines, 'log entries'
    errors.map(lambda p: str(p)).saveAsTextFile('wasbs:///HdiSamples/HdiSamples/WebsiteLogSampleData/SampleLog/909f2b-2.log')
    

    輸出應該會指出 There are 30 errors and 646 log entries

  5. 您也可以使用 Matplotlib 來建構數據的視覺效果。 例如,如果您想要隔離長時間執行的要求原因,您可能會想要尋找平均使用最多時間的檔案。 下列代碼段會擷取前 25 個資源,這些資源花費了最多時間來處理要求。

    def avgTimeTakenByKey(rdd):
        return rdd.combineByKey(lambda line: (line.time_taken, 1),
                                lambda x, line: (x[0] + line.time_taken, x[1] + 1),
                                lambda x, y: (x[0] + y[0], x[1] + y[1]))\
                    .map(lambda x: (x[0], float(x[1][0]) / float(x[1][1])))
    
    avgTimeTakenByKey(logLines.map(lambda p: (p.cs_uri_stem, p))).top(25, lambda x: x[1])
    

    您應該會看到如下文字的輸出:

    [(u'/blogposts/mvc4/step13.png', 197.5),
    (u'/blogposts/mvc2/step10.jpg', 179.5),
    (u'/blogposts/extractusercontrol/step5.png', 170.0),
    (u'/blogposts/mvc4/step8.png', 159.0),
    (u'/blogposts/mvcrouting/step22.jpg', 155.0),
    (u'/blogposts/mvcrouting/step3.jpg', 152.0),
    (u'/blogposts/linqsproc1/step16.jpg', 138.75),
    (u'/blogposts/linqsproc1/step26.jpg', 137.33333333333334),
    (u'/blogposts/vs2008javascript/step10.jpg', 127.0),
    (u'/blogposts/nested/step2.jpg', 126.0),
    (u'/blogposts/adminpack/step1.png', 124.0),
    (u'/BlogPosts/datalistpaging/step2.png', 118.0),
    (u'/blogposts/mvc4/step35.png', 117.0),
    (u'/blogposts/mvcrouting/step2.jpg', 116.5),
    (u'/blogposts/aboutme/basketball.jpg', 109.0),
    (u'/blogposts/anonymoustypes/step11.jpg', 109.0),
    (u'/blogposts/mvc4/step12.png', 106.0),
    (u'/blogposts/linq8/step0.jpg', 105.5),
    (u'/blogposts/mvc2/step18.jpg', 104.0),
    (u'/blogposts/mvc2/step11.jpg', 104.0),
    (u'/blogposts/mvcrouting/step1.jpg', 104.0),
    (u'/blogposts/extractusercontrol/step1.png', 103.0),
    (u'/blogposts/sqlvideos/sqlvideos.jpg', 102.0),
    (u'/blogposts/mvcrouting/step21.jpg', 101.0),
    (u'/blogposts/mvc4/step1.png', 98.0)]
    
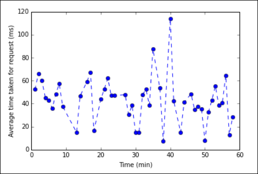
  6. 您也可以以繪圖形式呈現此資訊。 作為建立繪圖的第一個步驟,讓我們先建立臨時表 AverageTime。 數據表會依時間將記錄分組,以查看在任何特定時間是否有任何不尋常的延遲尖峰。

    avgTimeTakenByMinute = avgTimeTakenByKey(logLines.map(lambda p: (p.datetime.minute, p))).sortByKey()
    schema = StructType([StructField('Minutes', IntegerType(), True),
                        StructField('Time', FloatType(), True)])
    
    avgTimeTakenByMinuteDF = sqlContext.createDataFrame(avgTimeTakenByMinute, schema)
    avgTimeTakenByMinuteDF.registerTempTable('AverageTime')
    
  7. 然後,您可以執行下列 SQL 查詢,以取得 AverageTime 數據表中的所有記錄。

    %%sql -o averagetime
    SELECT * FROM AverageTime
    

    %%sql magic 後面緊接著 -o averagetime 可確保查詢的輸出會保存在 Jupyter 伺服器的本機上 (通常是叢集的前端節點)。 輸出會保存為具有指定名稱 averagetime 的 Pandas 數據框架。

    您應該會看到類似下圖的輸出:

    hdinsight jupyter sql query output. yter sql 查詢輸出“ border=”true“:::

    如需魔術的詳細資訊 %%sql ,請參閱 %%sql magic 支援的參數。

  8. 您現在可以使用 Matplotlib,這是用來建構數據視覺效果的連結庫,用來建立繪圖。 由於繪圖必須從本機保存的 averagetime 數據框架建立,代碼段必須以 magic 開頭 %%local 。 這可確保程式代碼會在 Jupyter 伺服器上本機執行。

    %%local
    %matplotlib inline
    import matplotlib.pyplot as plt
    
    plt.plot(averagetime['Minutes'], averagetime['Time'], marker='o', linestyle='--')
    plt.xlabel('Time (min)')
    plt.ylabel('Average time taken for request (ms)')
    

    您應該會看到類似下圖的輸出:

    apache spark web log analysis plot. eb log analysis plot“ border=”true“::

  9. 應用程式執行完畢之後,您應該關閉 Notebook 以釋放資源。 若要這麼做,請從 Notebook 的 [檔案] 功能表中,選取 [關閉並終止]。 此動作將會關閉並關閉筆記本。

下一步

探索下列文章: