共用方式為


IDCompositionScaleTransform 介面 (dcomp.h)

表示 2D 轉換,影響沿著 X 軸和 Y 軸的視覺效果縮放比例。 座標系統是從指定的中心點縮放。

繼承

IDCompositionScaleTransform介面繼承自IDCompositionTransformIDCompositionScaleTransform 也有下列類型的成員:

方法

IDCompositionScaleTransform介面具有這些方法。

 
IDCompositionScaleTransform::SetCenterX

變更 2D 縮放轉換的 CenterX 屬性值。
IDCompositionScaleTransform::SetCenterX

以動畫顯示 2D 縮放轉換的 CenterX 屬性值。
IDCompositionScaleTransform::SetCenterY

變更 2D 縮放轉換的 CenterY 屬性值。
IDCompositionScaleTransform::SetCenterY

以動畫顯示 2D 縮放轉換的 CenterY 屬性值。
IDCompositionScaleTransform::SetScaleX

變更 2D 縮放轉換的 ScaleX 屬性值。
IDCompositionScaleTransform::SetScaleX

以動畫顯示 2D 縮放轉換的 ScaleX 屬性值。
IDCompositionScaleTransform::SetScaleY

變更 2D 縮放轉換的 ScaleY 屬性值。
IDCompositionScaleTransform::SetScaleY

以動畫顯示 2D 縮放轉換的 ScaleY 屬性值。

備註

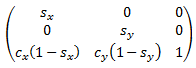
縮放轉換代表下列 3-by-3 矩陣:

三對三刻度矩陣

效果是相應增加或減少座標系統,並套用對應的轉譯,讓中心點不會移動。

需求

   
最低支援的用戶端 Windows 8 [僅限傳統型應用程式]
最低支援的伺服器 Windows Server 2012 [僅限傳統型應用程式]
目標平台 Windows
標頭 dcomp.h

另請參閱

IDCompositionTransform

IDCompositionVisual::SetTransform