Freigeben über


Anpassen von Bewertungsmodellen zur Verbesserung der Relevanz in SharePoint

GILT FÜR:Gilt für SharePoint Server 2013 2013 Gilt für SharePoint Server 2016 2016 Gilt für SharePoint Server 2019 2019 Gilt nicht für SharePoint Online SharePoint Online in Microsoft 365

Verbessern Sie die Suchrelevanz, indem Sie die Bewerungsmodelle so anpassen, dass das Bewertungsergebnis (Relevanzbewertung) mithilfe der Bewertungsfunktionen in SharePoint berechnet wird.

Sie können Suchergebnisse in SharePoint auf vier Arten sortieren, von denen eine nach Bewertungsbewertung ist. Wenn Sie Suchergebnisse nach Bewertungsergebnis sortieren möchten, fügt SharePoint die relevantesten Suchergebnisse ganz oben im Suchergebnissatz ein.

Ein Suchergebnis ist relevant, wenn es eine hohe Bewertung erhält, bei der es sich um eine bestimmte numerische Bewertung handelt, die von der Suchmaschine mithilfe eines Bewertungsmodells berechnet wird. Ein Bewertungsmodell ist eine Liste einer oder mehrerer Rangstufen, die eine Gruppen von Rangmerkmalen aufweisen. Das Bewertungsmodell bestimmt, wie das Suchmodul den Relevanzrang mittels verschiedener Faktoren berechnet, die im Bewertungsmodell als Rangmerkmale dargestellt werden. Zu den für die Berechnung der Relevanzbewertung verwendeten Faktoren gehören folgende:

  • Die Darstellung der Abfragebegriffe im Fulltextindex, zu denen beispielsweise Informationen wie der Titel und Text eines Dokuments gehören.
  • Die mit einem bestimmten Element verknüpften Metadaten, z. B. der Dateityp eines Dokuments oder die URL-Länge.
  • Der mit den URL-Links verknüpfte Text, die auf ein bestimmtes Element verweist.
  • Die Informationen zu Benutzerklicks für jedes Element.
  • Die Annäherung an Abfragebegriffe im Text oder Titel eines Dokuments.

Starten der Bewertungsmodellanpassung basierend auf einer SharePoint-Bewertungsmodellvorlage

Um die Anpassung einfacher zu gestalten, beginnen Sie damit, eine der Standard-Bewertungsmodelle in SharePoint als Vorlage zu verwenden. Passen Sie das Bewerungsmodell anschließend an Ihren Datensatz an.

SharePoint enthält standardmäßig 14 Bewertungsmodelle. Ausführliche Informationen zu diesen Bewertungsmodellen und ihrem Zweck finden Sie unter Was ist ein Bewertungsmodell? (auf TechNet).

Wichtig

Wenn Sie das kumulative SharePoint-Update vom August 2013 installieren, sollten Sie das Suchbewertungsmodell mit zwei linearen Stufen als Basismodell für Ihr benutzerdefiniertes Bewertungsmodell verwenden. Das Suchbewertungsmodell mit zwei linearen Stufen ist eine Kopie des Standardsuchmodells mit einer linearen zweiten Stufe anstelle einer zweiten Stufe eines neuralen Netzwerks.

Verwenden Sie zum Anpassen von Bewertungsmodellen folgende Windows PowerShell-Cmdlets:

Auflisten aller verfügbaren Bewerungsmodelle

  1. Öffnen Sie SharePoint-Verwaltungsshell als Administrator.
  2. Führen Sie fogende Sequenz von Windows PowerShell-Cmdlets aus.
$ssa = Get-SPEnterpriseSearchServiceApplication -Identity "Search Service Application"
$owner = Get-SPenterpriseSearchOwner -Level ssa
Get-SPEnterpriseSearchRankingModel -SearchApplication $ssa -Owner $owner

Aufrufen einer Standard-Bewerungsmodell zur Verwendung als Vorlage

  1. Öffnen Sie SharePoint-Verwaltungsshell als Administrator.
  2. Führen Sie die folgende Sequenz von Windows PowerShell-Cmdlets aus: filename.xml ist der Name einer Datei, in der Sie das Bewertungsmodell speichern möchten.
$ssa = Get-SPEnterpriseSearchServiceApplication
$owner = Get-SPenterpriseSearchOwner -Level ssa
$defaultRankingModel = Get-SPEnterpriseSearchRankingModel -SearchApplication $ssa -Owner $owner | Where-Object { $_.IsDefault -eq $True }
$defaultRankingModel.RankingModelXML > filename.xml

Wenn Sie das kumulative Update von August 2013 für SharePoint installieren, können Sie folgendes Verfahren verwenden, um das Suchbewertungsmodell mit zwei linearen Stufen abzurufen, damit Sie es als Vorlage für Ihr benutzerdefiniertes Bewertungsmodell verwenden können.

Aufrufen des Suchbewertungsmodells mit zwei linearen Stufen zur Verwendung als Vorlage

  1. Öffnen Sie SharePoint-Verwaltungsshell als Administrator.
  2. Führen Sie die folgende Sequenz von Windows PowerShell-Cmdlets aus: filename.xml ist der Name einer Datei, in der Sie das Bewertungsmodell speichern möchten.
$ssa = Get-SPEnterpriseSearchServiceApplication
$owner = Get-SPenterpriseSearchOwner -Level ssa
$twoLinearStagesRankingModel = Get-SPEnterpriseSearchRankingModel -SearchApplication $ssa -Owner $owner -Identity 5E9EE87D-4A68-420A-9D58-8913BEEAA6F2
$twoLinearStagesRankingModel.RankingModelXML > filename.xml

Bereitstellen eines benutzerdefinierten Bewertungsmodells

  1. Kopieren Sie aus der Liste der verfübaren Bewertungsmodelle die GUID des Bwertungsmodells, das Sie als Vorlage verwenden möchten. (Weitere Informationen finden Sie unter Auflisten aller verfügbaren Bewertungsmodelle für die Reihenfolge der zu verwendenden Windows PowerShell-Cmdlets.)

  2. Führen Sie die folgende Sequenz von Windows PowerShell-Cmdlets mithilfe der GUID aus, die in Schritt 1 für <GUID> kopiert wurde.

    $ssa = Get-SPEnterpriseSearchServiceApplication
    $owner = Get-SPenterpriseSearchOwner -Level ssa
    $rm = Get-SPEnterpriseSearchRankingModel -Identity <GUID> -SearchApplication $ssa -Owner $owner
    $rm.RankingModelXML > myrm.xml
    
  3. Bearbeiten Sie die myrm.xml Datei in einem XML-Editor. Sie müssen neue GUID-Werte für die id-Attribute im RankModel2Stage-Element und alle RankingModel2NN-Elemente verwenden. Um einen neuen GUID-Wert abzurufen, können Sie beispielsweise folgenden Windows PowerShell-Befehl verwenden: [guid]::NewGuid()

  4. Erstellen Sie mit dem Cmdlet New-SPEnterpriseSearchRankingModel ein neues Bewertungsmodell, indem Sie die folgenden Befehle ausführen.

    $myRankingModel = Get-Content .\\myrm.xml
    $myRankingModel = [String]$myRankingModel
    $ssa = Get-SPEnterpriseSearchServiceApplication
    $owner = Get-SPenterpriseSearchOwner -Level ssa
    $newrm = New-SPEnterpriseSearchRankingModel -SearchApplication $ssa -Owner $owner -RankingModelXML $myRankingModel
    

Bewertungsdetail

Wichtig

Wir bieten das Bewertungsdetail und die dazugehörige ExplainRank-Seite aus Gründen der Einfachheit und nur zur Optimierung und Debuggen Ihrer eigenen benutzerdefinierten Bewertungsmodelle. Die Inhalte der Bewertungsdetails und die begleitende ExplainRank-Seite werden nicht unterstützt und können ohne vorherige Ankündigung in künftigen Softwarepatches und -updates geändert werden.

Das Bewertungsdetail ist ein XML-Dokument, das detaillierte Informationen zur Berechnung des Bewertungsergebnisses für ein einzelnes Element bereitstellt, das mit einer angegebenen Benutzer-Abfrage übereinstimmt. Das Bewertungsdetail wird in einer speziell verwalteten Eigenschaft mit der Bezeichnung rankdetail gespeichert.

Jede Bewertungsfunktion in einem Bewertungsmodell besitzt einen separaten XML-Knoten im Bewertungsdetail, das Details zur Berechnung des Bewertungsergebnisses beschreibt. Das Bewertungsdetail wird nur für Abfragen bereitgestellt, die Suchergebnisse mit höchstens 100 Elementen aufweisen.

Das Konzept des Gesamtformats des Bewertungsdetails ist im folgenden Beispiel dargestellt.

<rank_log version='15.0.0000.1000' id='[internal guid of ranking model used for calculation]' >
    <query tree='[representation of user query used for ranking]'/>
    <stage type='linear'>
        [Details of rank calculation of the first ranking stage. One XML node for each rank feature.]
        <stage_model>
            [Definition of the first stage of the ranking model]
        </stage_model>
    </stage>
    <stage type='neural_net' >
        [Details of rank calculation of the second ranking stage. One XML node for each rank feature.]
        <stage_model>
            [Definition of the second stage of the ranking model]
        </stage_model>
    </stage>
</rank_log>

Um das Bewertungsdetail abzurufen, müssen Sie der Administrator der Suchdienstanwendung sein.

Abrufen des Bewertungsdetails

  1. Öffnen Sie die SharePoint-Verwaltungsshell als Administrator.
  2. Führen Sie die folgende Sequenz von Windows PowerShell-Cmdlets aus, und ersetzen Sie< query_text> und <URL> durch tatsächliche Werte.
$app = Get-SPEnterpriseSearchServiceApplication
$searchAppProxy =  Get-spenterprisesearchserviceapplicationproxy | Where-Object { ($_.ServiceEndpointUri.PathAndQuery -like $app.Uri.PathAndQuery)}
$request = New-Object Microsoft.Office.Server.Search.Query.KeywordQuery($searchAppProxy)
$request.ResultTypes = [Microsoft.Office.Server.Search.Query.ResultType]::RelevantResults
$request.QueryText = "<query_text> AND path:""<url>"""
$request.SelectProperties.Add("rankdetail")
$searchexecutor = new-Object Microsoft.Office.Server.Search.Query.SearchExecutor
$resultTables = $searchexecutor.ExecuteQuery($request)
$resultTables[([Microsoft.Office.Server.Search.Query.ResultType]::RelevantResults)].Table

Grundlegendes zur Berechnung des Bewertungsergebnisses über die ExplainRank-Seite

SharePoint stellt die ExplainRank-Seite bereit, die sich im Ordner „Layouts“ befindet (<searchCenter>/_layouts/15/). Diese Seite enthält ausführliche Informationen zum Bewertungsergebnis für jede Bewertungsfunktion basierend auf einer bestimmten Suchabfrage, einer Dokument-ID und einer optionalen Bewertungsmodell-ID. Die Informationen werden aus dem Bewertungsdetail abgerufen und analysiert.

Sie können auf die ExplainRank-Seite mit der folgenden URL zugreifen: http://< searchCenter>/_layouts/15/ExplainRank.aspx?q={x}&d={y}&rm={z}

Dabei gilt Folgendes:

  • x ist die Suchabfrage.
  • y ist die Dokument-ID.
  • z ist die optionale Bewertungsmodell-ID. Wenn keine Bewertungsmodell-ID bereitgestellt wird, wird das Standard-Bewertungsmodell verwendet.

Genau wie bei dem Bewertungsdetail müssen Sie auch zum Anzeigen der ExplainRank-Seite der Administrator der Suchdienstanwendung sein.

Optimieren Ihres Bewertungsmodells mit Bewertungsfunktionen

Bewertungsfunktionen funktionieren wie Optimierungsskalen für ein Bewertungsmodell. In den folgenden Abschnitten werden die Bewertungsfunktionen beschrieben, die im SharePoint-Standardbewertungsmodell verfügbar sind und welche Rolle Sie bei der Berechnung der Relevanzbewertung spielen.

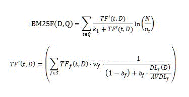
BM25

Die BM25-Bewertungsfunktion bewertet Elemente basierend auf der Anzeige der Abfragebegriffe im Volltextindex. Die Eingabe in BM25 kann eine beliebige der verwalteten Eigenschaften im Volltextindex sein.

Hinweis

Die in diesem Kontext verwendete BM25-Bewertungsfunktion ist die Feldversion BM25F.

Die BM25-Bewertungsfunktion berechnet das Relevanzbewertungsergebnis anhand der folgenden Formel.

BM25-Formel für das BM25-Rang-Feature

Dabei gilt Folgendes:

  • D ist ein Dokument, das als Liste von Textfeldern wie beispielsweise der Titel oder Text des Dokuments dargestellt wird.
  • Q ist die Benutzerabfrage, die als Liste von Abfragebegriffen dargestellt wird, t.
  • S definiert die Liste von Feldern, die Anteil an der Relevanzbewertung haben; diese Liste wird durch das Bewertungsmodell definiert.
  • _w_f ist ein numerischer Wert, der das relative Gewicht des Felds f ??? S definiert; dieser Wert wird durch das Bewertungsmodell definiert.
  • _b_f ist ein numerischer Wert, der die Dokumentlänge-Normalisierung für jedes Feld f ??? S definiert.
  • _TF_f (t,D) ist die Anzahl von Vorkommnissen des Abfragebegriffs t im Feld f des Dokuments D.
  • _DL_f (D) ist die Gesamtanzahl Wörter im Feld f des Dokuments D.
  • N ist die Gesamtanzahl von Dokumenten im Index.
  • _n_tist eine Menge von Dokumenten, bei denen der Begriff t in mindestens einer der Eigenschaften enthalten ist.
  • _AVDL_fist der der durchschnittliche _DL_f (D) aller indizierten Dokumente.
  • _k_1ist ein skalierbarer Parameter; dieser Wert wird durch das Bewertungsmodell definiert.

Sie müssen dem Standard-Volltextindex die für die BM25-Bewertungsfunktion verwendeten verwalteten Eigenschaften im Benutzeroberflächen-Steuerelement Erweiterte durchsuchbare Einstellungen auswählen zuweisen.

Innerhalb einer Benutzerabfrage werden Abfragebegriffe, die Teil der folgenden Operatoren sind, von den Relevanzbewertungsberechnungen ausgeschlossen: NOT(???) in FQL, NOT(???) in KQL und FILTER(???) in FQL.

Darüber hinaus werden Abfragebegriffe, die sich im Bereich befinden, z. B title:apple AND body:orange. , aus den Berechnungen der Relevanzbewertung ausgeschlossen.

Beispieldefinition einer BM25-Bewertungsfunktion

<BM25Main name="ContentRank" k1="1">
    <Layer1Weights>
        <Weight>0.26236235707678</Weight>
    </Layer1Weights>
    <Properties>
        <Property name="body" w="0.019391078235467" b="0.44402228898786156" propertyName="body" />
        <Property name="Title" w="0.36096989709360422" b="0.38179554361297785" propertyName="Title" />
        <Property name="Author" w="0.15808522836934547" b="0.13896219383271818" propertyName="Author" />
        <Property name="Filename" w="0.15115036355698144" b="0.96245017871125826" propertyName="Filename" />
        <Property name="QLogClickedText" w="0.3092664171701901" b="0.056446823262849853" propertyName="QLogClickedText" />
        <Property name="AnchorText" w="0.021768362296187508" b="0.74173561196103566" propertyName="AnchorText" />
        <Property name="SocialTag" w="0.10217215754116529" b="0.55968554315932328" propertyName="SocialTag" />
    </Properties>
</BM25Main>

Beispiel-Bewertungsdetail für das BM25-Bewertungsfunktion

<bm25 name='ContentRank'>
<schema pid_mapping='[1:content::7:%default] [2:content::1:%default] [3:content::5:%default] [56:content::2:%default] [100:content::3:link] [10:content::6:link] [264:content::14:link] ' pids_not_mapped=''/>
<query_term term='WORDS(content:integration, content:integrations, content:integrations)'>
    <index name='content' N='10035' n='8'
           avdl='1 2.98018 2.00427 1 1 2.39394 1 637.308 1 1 1 1 1 1 1 1 '>
        <group id='%default'
               ext_doc_id='55' int_doc_id='16' precalc='0' tf_prime='0.500486' weight='1'
               tf='0 1 1 0 0 0 0 11 0 0 0 0 0 0 0 0 '
               dl='0 4 9 0 0 2 0 1291 0 0 0 0 0 0 0 0 '/>
        <group id='link'/>
    </index>
    <rank score='2.37967' score_acc='2.37967' term_weight='7.13439'/>
</query_term>

<query_term term='WORDS(content:effort, content:efforts, content:efforts)'>
    <index name='content' N='10035' n='9'
           avdl='1 2.98018 2.00427 1 1 2.39394 1 637.308 1 1 1 1 1 1 1 1 '>
        <group id='%default'/>
        <group id='link'/>
    </index>
    <rank score='0' score_acc='2.37967' term_weight='7.01661'/>
</query_term>

<query_term term='PHRASE(content:fastserver, content:plugin)'>
    <index name='content' N='10035' n='3'
           avdl='1 2.98018 2.00427 1 1 2.39394 1 637.308 1 1 1 1 1 1 1 1 '>
        <group id='%default'
               ext_doc_id='55' int_doc_id='16' precalc='0' tf_prime='0.0399696' weight='1'
               tf='0 0 0 0 0 0 0 3 0 0 0 0 0 0 0 0 '
               dl='0 4 9 0 0 2 0 1291 0 0 0 0 0 0 0 0 '/>
        <group id='link'/>
    </index>
    <rank score='0.311896' score_acc='2.69157' term_weight='8.11522'/>
</query_term>
<final score='2.69157' transformed='2.69157' normalized='2.69157' hidden_nodes_adds='0.706166 '/>
</bm25>

Gewichtungsgruppen

In einem benutzerdefinierten Bewertungsmodell können Sie zwei oder mehr verwaltete Eigenschaften besitzen, die der gleichen Gewichtungsgruppe im Suchschema zugeordnet sind. In solchen Fällen werden die Inhalte dieser verwalteten Eigenschaften im Volltextindex kombiniert und können nicht separat in der BM25-Berechnung bewertet werden. Dieser Effekt entspricht dem Festlegen gleicher Werte für die parameter _w_f und _b_f innerhalb jeder Gruppe verwalteter Eigenschaften, die der gleichen Gewichtungsgruppe im Suchschema zugeordnet sind. Um dies zu verhindern, müssen Sie die verwalteten Eigenschaften einer der 16 verschiedenen Gewichtungsgruppen zuordnen, die im Suchschema verfügbar sind.

Gewichtungsgruppen werden auch als Kontext bezeichnet. Weitere Informationen zur Beziehung zwischen einer verwalteten Eigenschaft und ihrem Kontext finden Sie unter Beeinflussen der Rangfolge von Suchergebnissen mithilfe des Suchschemas (techNet).

Static

Die statische Bewertungsfunktion bewertet die Elemente basierend auf numerischen verwalteten Eigenschaften, die im Suchindex gespeichert werden. Die numerischen verwalteten Eigenschaften, die für die Relevanzbewertungsberechnung in statischen Rangfunktionen verwendet werden, müssen vom Typ Integer sein und im Suchschema auf Refinable oder Sortable festgelegt sein. Sie können keine verwalteten Eigenschaften mit mehreren Werten in Kombination mit der statischen Bewertungsfunktion verwenden.

Bevor die statische Bewertungsfunktion kann mit anderen Bewertungsfunktionen aggregiert werden, wird jede statische Bewertungsfunktion über eine einzelne Transformation vorverarbeitet. Tabelle 1 listet alle unterstützten Transformationsfunktionen auf.

Tabelle 1. Unterstützte Transformationsfunktionen für die statischen und Näherungsbewertungsfunktionen

Für Rang-Features unterstützte Transformationsfunktionen

Beispieldefinition einer statischen Bewertungsfunktion

<Static name="clickdistance" default="5" propertyName="clickdistance">
    <Transform type="InvRational" k="0.27618729159042193" />
    <Layer1Weights>
        <Weight>0.616326852981262</Weight>
    </Layer1Weights>
</Static>

Beispiel-Bewertungsdetail für eine statische Bewertungsfunktion

<static_feature name='clickdistance' property_name='clickdistance'
    used_default='1' raw_value='5' raw_value_transformed='5'
    transformed='0.420003' normalized='0.420003'
    hidden_nodes_adds='0.258859 '/>

Zusammengefasste Statik

Die zusammengefasste Statik-Bewertungsfunktion bewertet Dokumente basierend auf dem Dateityp und der Sprache. Die Definition einer zusammengefassten Statik-Bewertungsfunktion innerhalb eines Bewertungsmodells hängt davon ab, ob die Bewertungsfunktion Teil eines linearen Modells oder neuralen Netzwerks ist. Die folgenden Beispiele gelten nur für lineare Modelle. Bei neuronalen Netzwerken muss die Anzahl der <Add> Attribute für jeden Bucket mit der Anzahl der ausgeblendeten Knoten im neuronalen Netzwerk übereinstimmen.

Die verwalteten Eigenschaften, die für die Berechnung der Relevanzbewertung in bucketed static rank features verwendet werden, müssen vom Typ Integer sein und im Suchschema auf Refinable oder Sortable festgelegt sein. Sie können keine verwalteten Eigenschaften mit mehreren Werten in Kombination mit der zusammengefassten Statik-Bewertungsfunktion verwenden.

Beispieldefinition einer zusammengefassten Statik-Bewertungsfunktion für den Dateityp

Jedem Dokument ist ein Dateityp zugewiesen, den die Inhaltsverarbeitungskomponente erkennt und im Suchindex als nullbasierten Ganzzahlwert speichert. Wenn Sie die zusammengefasste Statik-Bewertungsfunktion verwenden, um Dokumente basierend auf den Dateitypen zu bewerten, erhält jeder Dokumenttyp ein bestimmte Relevanzbewertungsergebnis. In der folgenden Definition entspricht das Bucket beispielsweise 2 einem PPT-Dokument; der Knoten <Add>0.680984743282165</Add> definiert zusätzliche Bewertungspunkte, die für alle PPT-Dokumente zu den Relevanzbewertungsergebnissen hinzugefügt werden.

<BucketedStatic name="InternalFileType" default="0" propertyName="InternalFileType">
    <Bucket name="Html" value="0">
        <HiddenNodesAdds>
            <Add>0.464062832328107</Add>
        </HiddenNodesAdds>
    </Bucket>
    <Bucket name="Doc" value="1">
        <HiddenNodesAdds>
            <Add>0.551558196047853</Add>
        </HiddenNodesAdds>
    </Bucket>
    <Bucket name="Ppt" value="2">
        <HiddenNodesAdds>
            <Add>0.680984743282165</Add>
        </HiddenNodesAdds>
    </Bucket>
    <Bucket name="Xls" value="3">
        <HiddenNodesAdds>
            <Add>-0.143152682829863</Add>
        </HiddenNodesAdds>
    </Bucket>
    <Bucket name="Xml" value="4">
        <HiddenNodesAdds>
            <Add>-1.29219869408375</Add>
        </HiddenNodesAdds>
    </Bucket>
    <Bucket name="Txt" value="5">
        <HiddenNodesAdds>
            <Add>-0.456669562992298</Add>
        </HiddenNodesAdds>
    </Bucket>
    <Bucket name="ListItems" value="6">
        <HiddenNodesAdds>
            <Add>0.170944938307345</Add>
        </HiddenNodesAdds>
    </Bucket>
    <Bucket name="Message" value="7">
        <HiddenNodesAdds>
            <Add>-0.0666769377412764</Add>
        </HiddenNodesAdds>
    </Bucket>
    <Bucket name="Image" value="8">
        <HiddenNodesAdds>
            <Add>0.106988843357609</Add>
        </HiddenNodesAdds>
    </Bucket>
</BucketedStatic>

Beispieldefinition einer zusammengefassten Statik-Bewertungsfunktion für die Dokumentensprache

Die Inhaltsverarbeitungskomponente erkennt die Sprache für jedes Dokument automatisch, bevor es zum Suchindex hinzugefügt wird. Wenn Sie die zusammengefasste Statik-Bewertungsfunktion zum Bewerten von Dokumenten basierend auf der Sprache verwenden, können Sie definieren, wie das Bewertungsergebnis so berechnet werden kann, dass dabei basierend auf der Sprache des Dokuments, die automatisch erkannt wurde, berücksichtigt wird, ob sie mit der Sprache der Abfrage übereinstimmt.

Zum Abfragezeitpunkt werden Informationen über die Sprache des Benutzers als Abfrageeigenschaft in das Suchmodul geschrieben.

Näherung

Die Bewertungsfunktion „Näherung“ bewertet Elemente in Abhängigkeit von der Entfernung zwischen Abfrageausdrücken innerhalb des Volltextindex. Das Bewertungsergebnis wird erhöht, wenn zwei Abfrageausdrücke in denselben verwalteten Eigenschaften innerhalb des Volltextindex vorhanden sind. Näherungsberechnungen sind im Hinblick auf Datenträgeraktivität und CPU-Verbrauch kostspielig. Eine Steigerung der Näherung wird daher nu während der zweiten Stufe des Standardbewertungsmodells von SharePoint (falls verfügbar) durchgeführt.

Sie können die Näherungsbewertungsfunktion bewerten, indem Sie verschiedenen Optionen verwenden, die durch die in Tabelle 2 gesteuert werden.

Tabelle 2. Attribute zur Steuerung der Bewertung der Näherungsbewertungsfunktionen

Attribute Beschreibung
isExact=0
In diesem Modus versucht der Näherungsalgorithmus, die minimale Spanne (Abstand) der Teilmenge der Abfragebegriffe in einem Dokument zu finden.
Der Näherungsalgorithmus berücksichtigt Fragmente, die Abfragebegriffe in der gleichen Reihenfolge enthält, wie es auch in der Benutzerabfrage der Fall ist. Wenn kein Fragment für alle Abfragebegriffe vorhanden ist, berücksichtigt der Näherungsalgorithmus Fragmente, die bis auf einen alle Abfragebegriffe enthalten. Dieser Prozess wird durchlaufen, wobei die Anzahl der Abfragebegriffe jedes Mal reduziert wird, bis die Länge des Fragments maxMinSpanüberschreitet.
maxMinSpan ist ein Attribut innerhalb der Näherungsbewertungsfunktion, die einen Schwellenwert angibt, der die maximale Länge eines Fragments definiert.
Ein ideales Fragment ist ein Fragment, das alle Abfragebegriffe enthält, aber kleiner als maxMinSpanist.
isExact=1
In diesem Modus versucht der Näherungsalgorithmus einen aufeinanderfolgenden Codeabschnitt eines Dokuments zu finden, der alle Abfragebegriffe (oder den Abfrageausdruck) enthält.
isDiscounted
Dieses Attribut gilt sowohl für als auch isExact=1isExact=0. Wenn isDiscounted aktiviert ist, wird der Näherungswert mit diesem Bruchteil multipliziert: (Anzahl der Vorkommen des besten Fragments oder exakter Treffer) dividiert durch (Anzahl der Vorkommen des seltensten Abfragebegriffs in diesem Kontext).
proximity="complete"
In diesem Modus verstärkt die Näherungsbewertungsfunktion nur Dokumente, in denen der gesamte Abfragetext des Benutzers innerhalb einer bestimmten verwalteten Eigenschaft vorkommt.
proximity="perfect"
Dieser Modus ähnelt dem complete Modus, wird aber auf kurze Felder angewendet, z. B. titel. Die Näherungsbewertungsfunktion verstärkt nur Dokumente, in denen der gesamte Abfragetext des Benutzers mit einem exakten title innerhalb einer bestimmten verwalteten Eigenschaft übereinstimmt. Wenn der Titel zusätzliche Begriffe außerhalb der Benutzerabfrage enthält, wird das Element vom Näherungsalgorithmus nicht berücksichtigt.
default
Dieses Attribut gilt nur für Abfragen mit einem einzelnen Begriff. Für Elemente, die den Abfrageausdruck enthalten, wird der default Wert von der Näherungsbewertungsfunktion als Bewertungsergebnisausgabe verwendet.
Die perfect Nähe ist eine Ausnahme von dieser Regel. Bei der perfect Näherung wird der Standardwert niemals verwendet. Stattdessen werden Abfragen mit einem einzelnen Begriff genauso verarbeitet wie andere Abfragen.

Beispieldefinition der Näherungsbewertungsfunktion

Das folgende Beispiel ist ein Auszug aus dem Standardbewertungsmodell in SharePoint. In diesem Modell ist die Näherungsfunktion nur Teil der Berechnung der zweiten Stufe, die ein neurales Netzwerk umfasst. Daher enthält das Beispiel mehrere Gewichtungselemente( <LayerWeights>), die der Anzahl der Neuronen in der verborgenen Schicht des neuronalen Netzes entsprechen.

<MinSpan name="Title_MinSpanExactDiscounted" default="0.43654446989518952" maxMinSpan="1" isExact="1" isDiscounted="1" propertyName="Title">
    <Normalize SDev="0.20833333333333334" Mean="0.375" />
    <Transform type="Linear" a="1" b="0" maxx="10000" />
    <Layer1Weights>
        <Weight>0.0399835450090479</Weight>
        <Weight>-0.00693681478614802</Weight>
        <Weight>0.0286196612755843</Weight>
        <Weight>0.11775902923563</Weight>
        <Weight>0.0885860088190342</Weight>
        <Weight>0.102859503886488</Weight>
    </Layer1Weights>
</MinSpan>

Sie müssen die in den Näherungsbewertungsfunktionen verwendeten verwalteten Eigenschaften dem Standard-Volltextindex im Suchschema zuordnen.

Beispiel-Bewertungsdetail für die Näherungsbewertungsfunktion

<proximity_feature name='Title_MinSpanExactDiscounted' pid='2'
                   proximity_type='exact_discounted'
                   used_default='0' raw_value='0' transformed='0'
                   normalized='-1.8'
                   hidden_nodes_adds='-0.0719704 0.0124863 -0.0515154 -0.211966 -0.159455 -0.185147 ' />

Dynamisch

Die dynamische Bewertungsfunktion bewert ein Element abhängig davon, ob die Abfrageeigenschaft mit einer angegebenen verwalteten Eigenschaft übereinstimmt. Wenn es eine Übereinstimmung gibt, wird das Bewertungsergebnis des Elements mit einem bestimmten Wert multipliziert, um das Element zu ermitteln. Das Gewichtungsattribut wird verwendet, um zu steuern, welche Auswirkungen diese Funktion auf das Gesamtbewertungsergebnis hat.

Hinweis

Die dynamische Bewertungsfunktion kann nicht angepasst werden und dient nur zu internen Zwecken. Wenn Sie jedoch das kumulative Update von August 2013 für SharePoint installieren, ist die AnchortextComplete-Bewertungsfunktion eine anpassbare dynamische Bewertungsfunktion, die Teil des Standardbewertungsmodells ist.

Beispieldefinition einer dynamischen Bewertungsfunktion

<Dynamic name="AnchortextComplete" pid="501" default="0" property="AnchortextCompleteQueryProperty">
    <Transform type="Rational" k="0.91495552365614574" />
        <Layer1Weights>
            <Weight>0.715419978898093</Weight>
        </Layer1Weights>
</Dynamic>

Aktualität

Das SharePoint-Standardbewertungsmodell verstärkt die Bewertung der Suchergebnisse nicht nach Aktualität. Fügen Sie dazu eine neue Statik-Bewertungsfunktion hinzu, die Informationen mithilfe der Aktualitätstransformationsfunktion aus der verwalteten LastModifiedTime-Eigenschaft mit der DateTimeUtcNow-Abfrageeigenschaft kombiniert. Die Aktualitätstransformationsfunktion ist die einzige Transformation, die Sie für diese Aktualitätsbewertungsfunktion verwenden können, da sie das Alter des Elements einer aus einer internen Darstellung in Tage konvertiert.

Die Aktualitätstransformation basiert auf der folgenden Formel:

Aktualitätsformel für Rangmodelle

Dabei gilt Folgendes:

  • c und _y_zukünftigewerden im Rangfolgemodell definiert.
  • x ist das Alter eines Elements in Tagen.
  • Der Wert von _y_future definiert die Aktualitätssteigerung für Elemente, deren LastModifiedTime größer als das aktuelle Datum und die aktuelle Uhrzeit ist.

Beispieldefinition der Aktualitätsbewertungsfunktion

<Static name='freshboost' propertyName='LastModifiedTime' default='-1' convertPropertyToDatetime='1' rawValueTransform='compare' property='DateTimeUtcNow'>
    <Transform type="Freshness" constant="0.0333" futureValue="2" />
    <Layer1Weights>
        <Weight>1.0</Weight>
    </Layer1Weights>
</Static>

Beispielbewertungsdetail für die Aktualitätsbewertungsfunktion unter Verwendung eines alten Dokuments (ca. 580 Tage alt)

<static_feature name='freshboost' property_name='LastModifiedTime' raw_value_transform='compare' used_default='0' property_value_found='1' property_value='9807115930137649186' raw_value='9.80661e+018' raw_value_transformed='-5.03135e+014' transformed='0.0490396' normalized='0.0490396' hidden_nodes_adds='0.0490396 '/>

Beispielbewertungsdetails für das Feature "Aktualitätsbewertung" mit einem neuen Dokument (<1 Tag alt)

<static_feature name='freshboost' property_name='LastModifiedTime' raw_value_transform='compare' used_default='0' property_value_found='1' property_value='9807115934928966979' raw_value='9.80712e+018' raw_value_transformed='-2.55529e+011' transformed='0.990248' normalized='0.990248'hidden_nodes_adds='0.990248 '/>

Aggregation von Bewertungsfunktionen

Ein Bewertungsmodell besteht aus verschiedenen Bewertungsfunktionen, die zusammen zur Berechnung eines Bewertungsergebnisses dienen.

Zweistufige Bewertungsmodelle

Ein Bewertungsmodell kann zwei Bewertungsstufen besitzen. In der ersten Stufe wendet das Bewertungsmodell relativ einfache Bewertungsfunktionen an, um eine Bruttobewertung der Ergebnisse abzurufen. In der zweiten Stufe wendet das Bewertungsmodell zusätzliche und komplexere Bewertungsfunktionen auf die Elemente mit dem höchsten Bewertungsergebnis an.

Das Standardbewertungsmodell in SharePoint ist ein Beispiel für ein zweistufiges Bewertungsmodell. In diesem Modell arbeitet die zweite Stufe mit den Top 1000-Elementen mit dem höchsten Bewertungsergebnis aus der ersten Stufe.

Nachdem der Bewertungsvorgang in der ersten Stufe abgeschlossen ist, sortiert das Suchmodul alle Elemente, inklusive der aus der zweiten Stufe augeschlossenen Elemente. Das führt in der Regel dazu, dass Elemente aus der zweiten Stufe im Vergleich zu den Elementen aus der ersten Stufe ein niedrigeren Bewertungsergebnis aufweisen.

Um jedoch gewährleisten zu können, dass das Suchmodul die Elemente genau sortiert, müssen Elemente aus der zweiten Stufe ein höheres Bewertungsergebnis aufweisen als die Elemente aus der ersten Stufe. Um dieses Problem zu lösen, werden die Bewertungsergebnisse der zweiten Stufe verstärkt. Das Suchmodul führt diese Berechnung basierend auf einer Kombination von Bewertungsfunktionen automatisch durch.

Hinweis

Wenn Sie das kumulative Update vom August 2013 für SharePoint installieren, verwendet das Standardbewertungsmodell eine lineare erste Stufe und eine zweite Stufe eines neuralen Netzwerks. Das Suchbewertungsmodell mit zwei linearen Stufen ist eine Kopie des Standardsuchmodells mit zwei linearen Stufen. Es wird empfohlen, dieses Modell als Basismodell für Ihr benutzerdefiniertes Bewertungsmodell zu verwenden, da es einfacher ist, ein lineares Modell anstelle eines Modells mit einem neuralen Netzwerk zu optimieren.

Lineares Modell

Das lineare Modell definiert eine lineare Kombination von Bewertungsergebnissen aus Bewertungsfunktionen.

Das von den linearen Modellen bereitgestellte Bewertungsergebnis wird mithilfe folgender Formel berechnet:

Lineare Modellformel für Rangmodelle

Dabei gilt Folgendes:

  • score ist das vom linearen Modell erzeugte Ausgabebewertungsergebnis.
  • M ist die Anzahl der Bewertungsfunktionen ohne zusammengefasste Statik-Bewertungsfunktionen.
  • K ist die Anzahl der zusammengefassten Statik-Bewertungsfunktionen.
  • _f_j ist der Wert der _j_n-Funktion nach der Transformation.
  • _w_j ist die Beitragsgewichtung der _j_n-Funktion für die lineare Kombination

Neurales Netzwerk

Das neurale Netzwerk definiert eine nichtlineare Kombination von Bewertungsergebnissen aus Bewertungsfunktionen. SharePoint unterstützt derzeit neurale Netzwerke, die auf eine ausgeblendete Ebene mit bis zu acht Neuronen beschränkt sind.

Das von einem neuralen Netzwerk erzeugte Bewertungsergebnis wird mithilfe folgender Formel berechnet:

Neurale Netzwerkformel für Rangmodelle

Dabei gilt Folgendes:

  • score ist das vom neuralen Netzwerk erzeugte Ausgabe-Bewertungsergebnis.
  • N ist die Anzahl der Neuronen auf der versteckten Ebene des neuralen Netzwerks.
  • M ist die Anzahl der Bewertungsfunktionen ohne zusammengefasste Statik-Bewertungsfunktionen.
  • K ist die Anzahl der zusammengefassten Statik-Bewertungsfunktionen.
  • _W_i ist die Beitragsgewichtung des versteckten _i_n-Neurons.
  • _t_i ist der Schwellenwert des versteckten _i_n-Neurons.
  • _W_i,j ist die Beitragsgewichtung der _j_n-Funktion für das versteckten _i_n-Neuron.
  • _b_i,k ist der Zusatz aus der zusammengefassten _k_n-Statistikfunktion für das versteckte _i_n-Neuron.

Das Gesamtschema der Bewertungsergebnisberechnung mit einem neuralen Netzwerk mit zwei Ebenen wird in folgendem Diagramm dargestellt. Dieses Diagramm berücksichtigt nicht die zusammengefasste Statik-Bewertungsfunktion, die an neuralen Netzwerken beteiligt ist, indem es benutzerdefinierte Werte ohne Transformation oder Normalisierung direkt in versteckten Knoten hinzufügt.

Abbildung 1. Gesamtschema der Bewertungsergebnisberechnung mit einem neuralen Netzwerk mit zwei Ebenen

Neurales Netzwerk in Rangmodellen

Vorberechnung in BM25 und Statik-Bewertungsfunktionen

In einem Bewertungsmodell können BM25 und Statik-Bewertungsfunktionen Vorberechnungen nutzen, um die Abfragelatenz für Abfragebegriffe zu verbessern, die häufig in Elementen vorkommen. Bei dieser Abfragelatenzverbesserung entstehen durch zusätzliche Indizierung Kosten, sowohl hinsichtlich des verbrauchten Speicherplatzes durch den Suchindex als auch der CPU-Auslastung.

Sie sollten die Vorberechnung nur bei der ersten Stufe des Bewertungsmodells nutzen. Dementsprechend ist das Bewertungsdetail der ersten Stufe bei aktivierter Vorberechnung nicht vollständig.

Um die Vorberechnung zu aktivieren, müssen Sie das precalcEnabled-Attribut in der Bewertungsstufendefinition auf 1 festlegen. Sie können Vorberechnungen nur einmal in einem Bewertunsgmodell verwenden.

Abfrageeigenschaften

Abfrageeigenschaften sind ein Bewertungsmechanismus, der zusätzliche Informationen einpflegt, die nützlich für die Bewertungsergebnis-Berechnung sind. Abfrageeigenschaften sind beispielsweise die Uhrzeit und das Datum der Ausführung der Abfrage, die von der Aktualitätsbewertungsfunktion verwendet werden können. Tabelle 3 listet die zur Bewertung verfügbaren Eigenschaften auf. Sie können Abfrageeigenschaften nicht konfigurieren.

Tabelle 3. Abfrageeigenschaften zur Bewertung

Abfrageeigenschaft Beschreibung
AnchortextCompleteQueryProperty
Erhöht den kompletten Ankertext.
DateTimeUtcNow
Aktuelles Datum und Uhrzeit. Diese Abfrageeigenschaft kann von der Aktualitätsbewertungsfunktion verwendet werden.
DetectedLanguageRanking
ID der Abfragesprache. Diese Abfrageeigenschaft wird von der DetectedLanguageRanking-Bewertungsfunktion verwendet.
PersonalizationData
Bewertet personalisierte Daten.
RecommendedforQueryProperty
Bewertungsempfehlungen.

Beipsiel 1: Einfaches Bewertungsmodell mit einer linearen Stufe, die eine einzelne Statik-Bewertungsfunktion enthält

Dieses Bewertungsmodell geht davon aus, dass der Kunde eine verwaltete Eigenschaft mit der Bezeichnung CustomRating erstellt hat. Bei der Statik-Bewerungsfunktion muss CustomRating den Datentyp Integer besitzen und im Suchschema als Sortable oder Refinable konfiguriert sein. Für jedes Dokument inder Ergebnisgruppe entspricht das durch dieses Bewertungsmodell erzeugte Beweretungsergebnis dem Wert von CustomRating für das Dokument. Der Effekt dieses Modells ähnelt dem Sortieren aller Suchergebnisse in absteigender Reihenfolge mit der CustomRating verwalteten Eigenschaft.

<?xml version="1.0"?>
<RankingModel2Stage name="RankModel1"
    description="Rank model -- example 1"
    id="D3FAF680-D213-4916-A95A-0409031643F8"
    xmlns="urn:Microsoft.Search.Ranking.Model.2NN">
    <RankingModel2NN id="619F2ECD-24F7-41CD-824C-234FC2EFDDCA" precalcEnabled="0" >
        <HiddenNodes count="1">
            <Thresholds>
                <Threshold>0</Threshold>
            </Thresholds>
            <Layer2Weights>
                <Weight>1</Weight>
            </Layer2Weights>
        </HiddenNodes>
        <RankingFeatures>
            <Static name="CustomRating" propertyName="CustomRating" default="0.0">
                <Transform type="Linear" a="1" b="0" maxx="1000"/>
                    <Layer1Weights>
                        <Weight>1.0</Weight>
                    </Layer1Weights>
            </Static>
        </RankingFeatures>
    </RankingModel2NN>
</RankingModel2Stage>

Beispiel 2: Komplexeres Bewertungsmodell mit einer linearen Stufe und vier Bewertungsfunktionen

Dieses Bewertungsmodell mit einer linearen Stufe enthält vier Bewertungsfunktionen:

  • BM25 Dieses Rangfeature basiert auf den verwalteten Eigenschaften Titel und Text; Das w Attribut für title ist festgelegt, sodass Treffer von Abfragebegriffen in Title zweimal (2x) wichtiger sind als Treffer von Abfragebegriffen im Text.

  • UrlDepth Diese Bewertungsfunktion basiert auf der verwalteten Eigenschaft UrlDepth, die standardmäßig bei SharePoint-Installationen verfügbar ist. UrlDepth enthält die Anzahl der umgekehrten Schrägstriche (\) in der URL eines Dokuments. Die inverse rationale ( InvRational) Transformation gewährleistet, das Dokumente mit kürzeren URLs erhalten höhere Bewertungsergebnisse.

  • TitleProximity Diese Bewertungsfunktion erhöht Dokumente, wenn einige der Abfragebegriffe nah beieinander im title dieser Dokumente vorkommen.

  • InternalFileType Diese Bewertungsfunktion erhöht Dokumente des Typs HTML, DOC, XLS oder PPT. Die Namen der Buckets in der Definition des Bewertungsmodells dienen nur der einfacheren Lesbarkeit.

    Hinweis

    Die InternalFileType verwaltete Eigenschaft, die standardmäßig verfügbar ist, verwendet den Wert 0 ( 0) zum Codieren von HTML-Dokumenten, den Wert 1 für DOC, den Wert 2 für XLS usw. Eine Liste aller Dateitypen, die für die verwaltete EigenschaftFileType verwendet werden, finden Sie in der Definition des Standardbewertungsmodells in SharePoint.

<?xml version="1.0"?>
<RankingModel2Stage name=" RankModel2"
                    description="Rank model -- example 2"
                    id="DE48A3A1-67CE-44A2-9712-E8A5128787CF"
                    xmlns="urn:Microsoft.Search.Ranking.Model.2NN">
    <RankingModel2NN id="A0A030D1-805D-437E-A001-CC151ED7473A" precalcEnabled="0">
        <HiddenNodes count="1">
            <Thresholds>
                <Threshold>0</Threshold>
            </Thresholds>
            <Layer2Weights>
                <Weight>1</Weight>
            </Layer2Weights>
        </HiddenNodes>
        <RankingFeatures>
            <BM25Main name="BM25" k1="1">
                <Layer1Weights>
                    <Weight>1</Weight>
                </Layer1Weights>
                <Properties>
                    <Property name="Title" propertyName="Title" w="2" b="0.5" />
                    <Property name="body" propertyName="body" w="1" b="0.5" />
                </Properties>
            </BM25Main>
            <Static name="UrlDepth" propertyName="UrlDepth" default="1">
                <Transform type="InvRational" k="1.5"/>
                <Layer1Weights>
                    <Weight>0.5</Weight>
                </Layer1Weights>
            </Static>
            <MinSpan name="TitleProximity" propertyName="Title" default="0" maxMinSpan="1" isExact="0" isDiscounted="0">
                <Normalize SDev="1" Mean="0"/>
                <Transform type="Linear" a="1" b="-0.5" maxx="2"/>
                <Layer1Weights>
                    <Weight>1.2</Weight>
                </Layer1Weights>
            </MinSpan>
            <BucketedStatic name="InternalFileType" propertyName="InternalFileType" default="0">
                <Bucket name="http" value="0">
                    <HiddenNodesAdds>
                        <Add>1.5</Add>
                    </HiddenNodesAdds>
                </Bucket>
                <Bucket name="doc" value="1">
                    <HiddenNodesAdds>
                        <Add>2.5</Add>
                    </HiddenNodesAdds>
                </Bucket>
                <Bucket name="ppt" value="2">
                    <HiddenNodesAdds>
                        <Add>0.5</Add>
                    </HiddenNodesAdds>
                </Bucket>
                <Bucket name="xls" value="3">
                    <HiddenNodesAdds>
                        <Add>-3.5</Add>
                    </HiddenNodesAdds>
                </Bucket>
            </BucketedStatic>
        </RankingFeatures>
    </RankingModel2NN>
</RankingModel2Stage>

Siehe auch